利用非靶向代谢组学技术对比分析Akk在硫乙醇酸盐液体培养基和优化培养基中代谢产物的差异,结合京都基因与基因组百科全书(KEGG)通路探究其特征性代谢产 ...
欢迎来到BioSense网站!
利用非靶向代谢组学技术对比分析Akk在硫乙醇酸盐液体培养基和优化培养基中代谢产物的差异,结合京都基因与基因组百科全书(KEGG)通路探究其特征性代谢产 ...
微生物发酵饲料的应用现已十分广泛,主要有:固态发酵饲料、单细胞蛋白和发酵代谢产物产品。固态发酵饲料包括青贮、微贮、畜禽粪与动物性下脚料发酵、饼粕类发酵 ...
溶磷菌对扁穗雀麦根系具有一定促进作用,主要表现在根系生物量的增加,其中Br24,Br7和Br17的效果最明显。 ...
扁穗雀麦因其品质好、生长快,是贵州喀斯特地区适应性较好的牧草品种之一,但其在发芽与苗期都面临低磷胁迫危害,溶磷菌还具有一定的底物特异性与物种专一性。以 ...
脓肿分枝杆菌是快速生长分枝杆菌(RGM)中最耐药的细菌之一。它对目前使用的抗生素(包括几乎所有抗结核药物)具有天然耐药性,这严重复杂化并限制了治疗方案 ...
?随着牛奶品质的提升,牛奶中细菌指数要求越来越低,目前牧场基本是2-5万,但是随着低温奶的生产,对鲜牛乳细菌指数要求更高,为了保证低温奶的货架期,细菌 ...
细菌形成生物被膜后,常使感染变得难治、易复发。由于胞外黏多糖的屏障作用、通过影响宿主免疫功能及细菌的基因表达等作用,而使其对抗生素产生耐药。本文将通过 ...
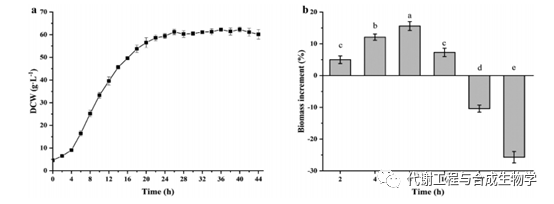
超声波处理提高了L-亮氨酸的生产性能。此外,从细胞形态、细胞膜透性和酶活性等方面研究了超声波处理对L-亮氨酸发酵性能的影响。结果表明,超声波处理对于谷 ...
向100 mL/250 mL察氏培养基中,分别接入1 mL M-1、M-2孢子悬液,pH值为6.5,培养温度分别设置为25℃、30℃、35℃、40℃、 ...