oCelloScope微生物快速药敏监测系统对4种唑类药物(氟康唑、伊曲康唑、伏立康唑、泊沙康唑)的检测结果显示,111株念珠菌对唑类药物的耐药率存在 ...
欢迎来到BioSense网站!
oCelloScope微生物快速药敏监测系统对4种唑类药物(氟康唑、伊曲康唑、伏立康唑、泊沙康唑)的检测结果显示,111株念珠菌对唑类药物的耐药率存在 ...
本研究系统分析了新疆医科大学第一附属医院2022年6月至2023年6月临床分离的109株侵袭性念珠菌的耐药特征及分子机制。通过形态学鉴定与ITS测序确 ...
生孢梭菌为厌氧微生物的代表,为梭状芽孢杆菌属,噬菌体约为1μm×5μm的革兰阳性杆菌,该菌未收录于《美国药典》1112的微生物生长所需的最低Aw,查阅 ...
在食品安全备受关注的今天,微生物检测作为食品安全的"守门人",其重要性不言而喻。准确可靠的检测结果直接关系到消费者的健康安全,也对食品企业的质量管理至 ...
一项针对16例晚期胃癌患者的研究,试图通过高通量体外药敏实验寻找个体化治疗出路。研究结果揭示了一个严峻现实:大部分患者来源的胃癌原代细胞对常规化疗药物 ...
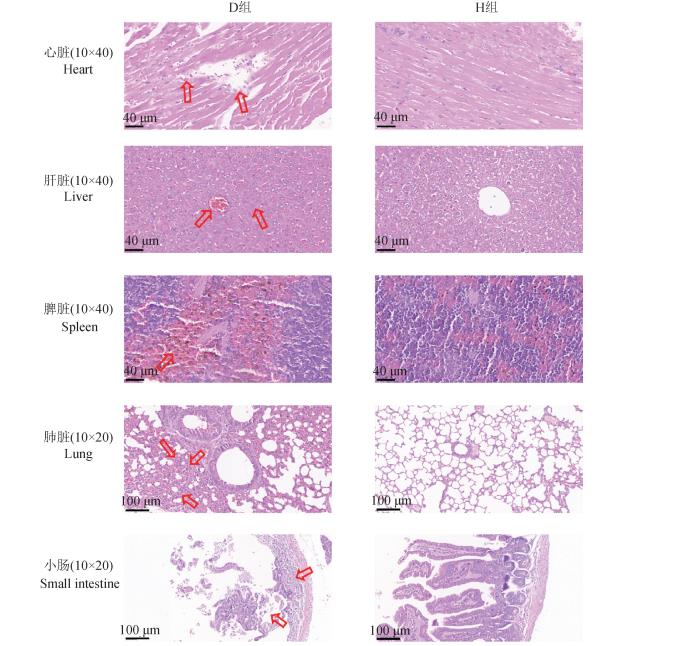
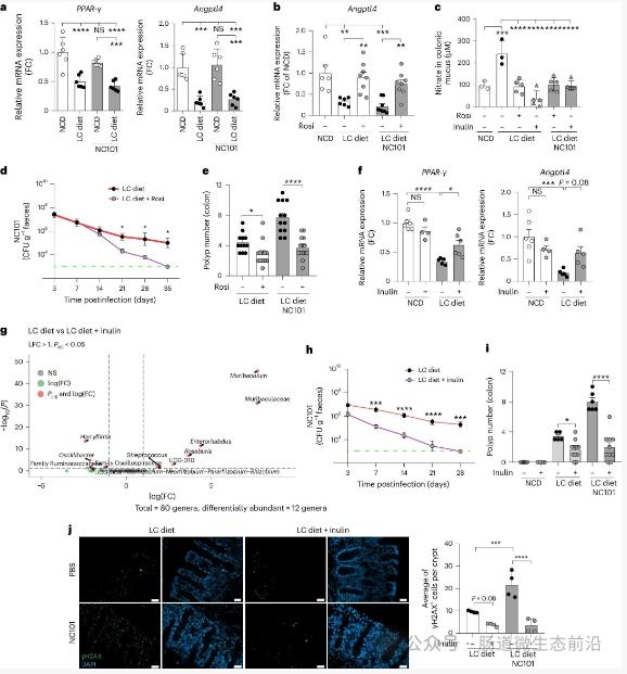
?结直肠癌(CRC)是全球第三大高发癌症,其发生涉及饮食、肠道微生物群、炎症和遗传因素的复杂交互。2025年3月,加拿大多伦多大学Alberto Ma ...
利尿通淋颗粒联合膀胱冲洗可以有效防治神经源性膀胱尿路感染,改善尿流动力学,提高尿肾功能及生存质量,应用效果显著,值得临床大力推广。由于本次研究有限,关 ...
表3可见。与治疗前比,两组治疗后尿培养菌落计数、尿β2-MG等指标下降,UCR上升(P<0.05);观察组治疗后尿培养菌落计数、尿β2-MG等指标低于 ...
?摘要:目的评估利尿通淋颗粒联合膀胱冲洗对神经源性膀胱尿路感染及膀胱功能的影响。方法纳入2023年1月—2023年9月接受诊疗及康复的神经源性膀胱尿路 ...
本试验成功分离鉴定出一株鹿源产气荚膜梭菌,并验证了其致病性。检测该菌株的耐药性,可为临床用药提供参考依据。建立了小鼠感染模型,为构建A型产气荚膜梭菌鹿 ...