?在气候变化的影响下,盐碱地面积不断扩大,了解盐碱地中微生物生态进化策略,对预测未来土壤健康和生态功能具有重要意义。对沿海土壤进行宏基因组测序发现,土 ...
欢迎来到BioSense网站!
?在气候变化的影响下,盐碱地面积不断扩大,了解盐碱地中微生物生态进化策略,对预测未来土壤健康和生态功能具有重要意义。对沿海土壤进行宏基因组测序发现,土 ...
碳源的类型也通过影响微生物群落结构来影响硫酸盐还原。乙醇和丙酸盐的存在有利于不完全氧化SRB(Desulfomicrobiaceae和Desulfov ...
在地下油藏环境中,微生物生长代谢过程中所产生的生物活性物质具有改善油藏环境、乳化原油、降低原油黏度和改变原油物性等功能,从而提高残余原油的采收率。本研 ...
【目的】筛选油藏内源功能微生物并探究其驱油机理,现场试验以确定油藏内源微生物提高原油采收技术应用的工艺和技术可行性。【方法】采集英东油田样品,利用原油 ...
?RIP技术(RNABindingProteinImmunoprecipitation,RNA结合蛋白免疫沉淀),是研究细胞内RNA与蛋白结合情况的技 ...
研究发现丙酸铵和MCFA的组合处理对谢瓦列曲霉的休眠分生孢子具有显著的协同抗真菌效果,几乎完全抑制了菌落的形成。此外该组合处理还显著降低了发芽率,并在 ...
棒杆菌属细菌由于具有生物安全(美国FDA认证)、生长速度快、营养需求低、底物谱广等优势,被认为是生物发酵产业的理想工业底盘菌株,广泛应用于氨基酸和有机 ...
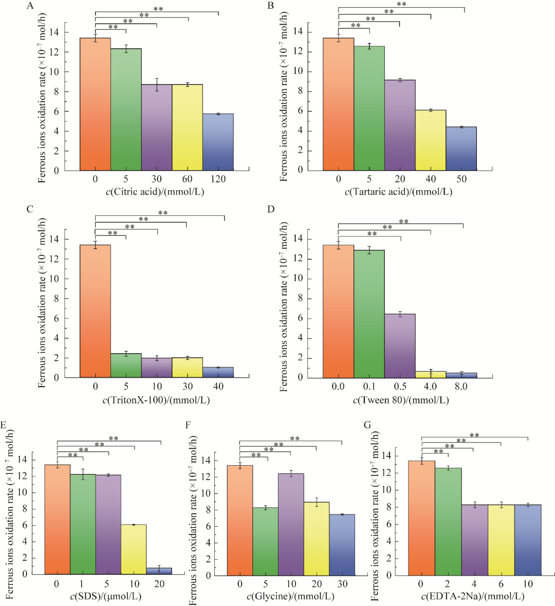
【结论】添加10 mmol/L葡萄糖酸能够使A.ferrooxidans BYM磁小体产量提升8倍,葡萄糖酸通过改变细胞形态和表面结构促进磁小体合成, ...
【结果】筛选得到10 mmol/L葡萄糖酸能使磁小体产量最高达到2.00×10?3 g/L,葡萄糖酸使A.ferrooxidans BYM细胞呈椭圆形 ...
【目的】明确不同种类有机物对氧化亚铁硫杆菌(Acidithiobacillus ferrooxidans)BYM磁小体形成的促进作用,为安全有效提升细 ...