食品接触表面的微生物污染长期存在,如何筛选出代表性抗菌化合物的消毒剂
与食品接触的表面上存在细菌污染是食品加工业中一个长期存在的问题。乳制品和海产品加工装置中存在单核细胞增生李斯特菌,肉类、乳制品和海产品加工装置中存在金黄色葡萄球菌,坚果和坚果相关产品加工单元中存在肠沙门氏菌,牛肉加工表面存在大肠杆菌。
法国的一项调查表明,大约60%的食源性疾病与加工过程中病原体从受污染的设备转移到食品有关。消毒剂和消毒剂的传统测试通常使用AOAC使用稀释法来监测处理过的细菌的生长/不生长,或者通过计算细胞的微生物对数减少来计算,这涉及到计数后存活的细菌细胞治疗。这两种方法都是耗时且劳动密集型的,oCelloScope微生物动态监测系统是一种自动明场光学显微镜,已用于监测对多种细菌的抗菌敏感性。oCelloScope的光轴与水平面成6.25°角倾斜,从而可以准确成像多孔板中液体培养基中高浓度和低浓度的细菌细胞。在每个读取点以z堆栈的形式获取多个图像,其中包含聚焦图像和逐渐失焦的图像。尽管oCelloScope主要是明场,但倾斜技术的存在可以生成一些相位对比信息。oCelloScope软件具有多种算法,可用于分析收集的数据。
细菌生长曲线由oCelloScope软件通过测量随时间从z堆栈收集的像素来生成。本研究旨在开发一种快速筛选抗菌剂以对抗表面的植物性细菌病原体的方法。被选为代表性抗菌化合物的消毒剂广泛用于食品加工行业。使用oCelloScope数据来计算用NaOCl和BAC(苯扎氯铵)作为消毒剂处理后微量滴定板中干燥细菌细胞的微生物对数减少(MLR)。将该数据与在不锈钢和幸存者上进行类似处理的细菌细胞的MLR进行比较通过电镀回收。结果表明oCelloScope可用作快速确定溶解性抗菌化合物MLR的工具。
丹麦Biosense微生物生长动态监测系统的应用
使用oCelloScope分析粉状细菌的生长,将细菌在75%RH的96孔板的孔内。20小时后,将200μL TSB添加到孔中,并使用oCelloScope随时间监测细菌细胞。为了使用oCelloScope分析非干燥微生物的生长,肠炎沙门氏菌的过夜培养物在TSB中以250 rpm的速度在摇床上生长。随后,将104–105 CFU/孔的接种物添加到96孔板的孔中,然后添加TSB并监测细菌数。用于分析抗菌药物敏感性,对微量滴定板中的干燥细胞进行抗菌处理。将每种浓度的NaOCl或BAC 50微升(50μL)添加到孔中(每种浓度一式三份)并孵育30秒、1分钟、3分钟或5分钟。处理后,加入200μL TSB+0.1%硫代硫酸钠或TSB+0.7%卵磷脂在oCelloScope中监测细胞数量之前,分别加入孔中以中和NaOCl和BAC。将每个多孔板(96孔)置于oCelloScope内进行分析。图像通过重复获取,每个时间点收集10幅图像。照明时间为2 m秒,像距固定为4.9μm。每2小时采集一次图像,持续24小时或每30分钟采集一次,持续4小时。选择软件UniExplorer上的背景校正吸收(BCA)算法和BCA归一化算法进行分析。BCA算法利用所有z堆栈图像数据,校正背景光强度,然后将图像分为背景和对象像素。BCA算法提供了基于光吸收的准确细胞数数据,尤其是在细菌密度低的情况下。BCA归一化值是通过从生长曲线上后续图像的BCA值中减去第一张图像的BCA值来计算的。分析了最佳焦点图像以及z-stack视频,以观察细菌细胞因抗菌化合物而发生的任何形态变化。
实验结论:
oCelloScope可用于有效监测细菌生长并生成细菌生长曲线。观察到粉状的肠炎沙门氏菌细胞的生长可以在干燥后24小时进行监测,而细胞活力没有发生重大变化。观察到的肠炎沙门氏菌S型生长曲线与传统上通过光密度分析观察到的结果一致。oCelloScope可用作量化抗菌剂功效的快速筛选方法。由于平板计数测定通常需要数天时间来量化抗菌化合物对病原体的影响,因此oCelloScope有可能节省宝贵的时间和精力。此外,使用oCelloScope进行分析所需的一次性用品明显少于用于标准平板计数的一次性用品。这有助于降低实验室成本和产生的废物量,使其更加环保。研究证明oCelloScope可用于量化MLR和细菌生长的各种参数。它可用于分析溶解性抗菌化合物对细菌的功效,并可快速筛选食品行业中独特的消毒配方。本文讨论的方法可以在未来开发有效的抗菌化合物以改善卫生和全球食品安全方面发挥关键作用。
图1、(A)添加TSB后干燥肠炎沙门氏菌的生长,使用oCelloScope测量并在24小时内量化(●)。使用背景校正吸收(BCA)算法分析生长。归一化值是根据初始时间点(0 h)的BCA值计算的。不含肠炎沙门氏菌的TSB用作阴性对照(□)(B)oCelloScope图像显示TSB中肠炎沙门氏菌的细菌数量随时间增加。明场图像表明细菌的数量逐渐增加,直到大约16小时,之后细菌密度太高,BCA算法无法计算。
图2、使用oCelloScope监测NaOCl处理后存活的肠炎沙门氏菌细胞的生长。用不同浓度的NaOCl处理微量滴定板中的细菌5分钟,然后加入TSB+0.1%硫代硫酸钠,并使用oCelloScope在室温下监测生长24小时。使用(A)标准化BCA算法和(B)BCA(无标准化)算法绘制微生物的生长数据。用不含氯(●)、20 ppm游离氯(△)、50 ppm游离氯(■)或100 ppm游离氯(○)的溶液处理肠炎细胞。BCA图(虚线框,B)零时间的数据点用于计算BCA减少。(C)oCelloScope图像在用0、20、50或100 ppm游离氯处理后在零时间获得的细菌的数量。
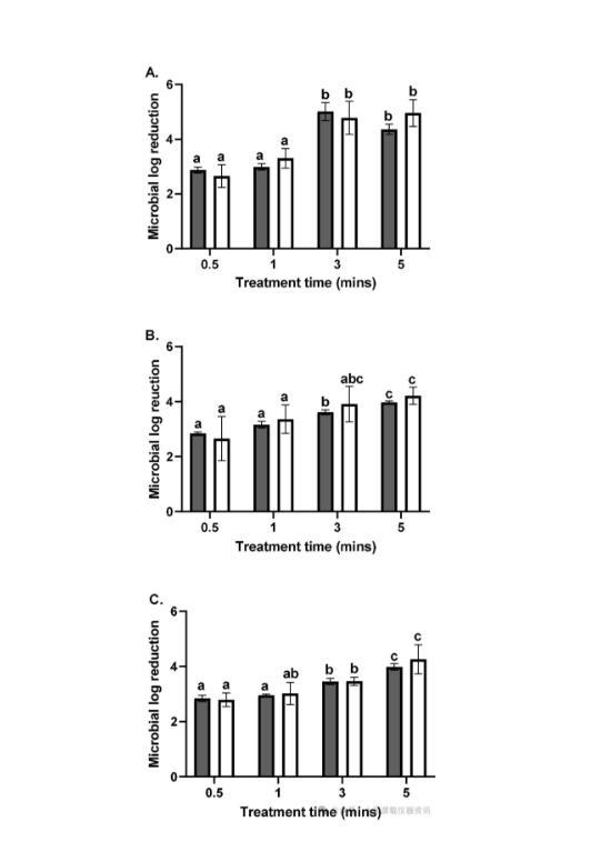
图3、在NaOCl处理30秒、1分钟、3分钟和5分钟后,使用BCA算法(灰色条)与传统MLR量化测定(平板计数,白色条)比较微生物对数减少(MLR)。在用100 ppm游离氯处理粉状的肠炎沙门氏菌(A)、大肠杆菌O157:H7(B)和单核细胞增生李斯特菌(C)细胞不同时间后,对MLR进行量化。相对于未处理的粉状细菌的阴性对照计算对数减少(使用零时间的数据点)。使用双向方差分析进行统计分析。对于每张图,不同的字母在统计上是不同的。
图4、在BAC处理30秒、1分钟、3分钟和5分钟后,使用BCA算法(灰色条)与传统MLR量化测定(白色条)比较微生物对数减少(MLR)。在用100 ppm BAC处理粉状的肠炎沙门氏菌(A)和大肠杆菌O157:H7(B)和20 ppm BAC处理粉状的单核细胞增生李斯特菌(C)细菌后,对MLR进行量化。相对于未处理的粉状细菌的阴性对照计算对数减少(使用零时间的数据点)。使用双向方差分析进行统计分析。
图5、在存在或不存在姜黄素的情况下照射后大肠杆菌O157:H7的微生物对数减少(MLR)。(A)使用oCelloScope测量处理后存活的大肠杆菌O157:H7的生长。大肠杆菌O157:H7未经处理(无辐照或姜黄素,●)、无姜黄素辐照(■)、1μM姜黄素无辐照(△)和在1μM姜黄素存在下辐照(○)。(B)使用或不使用姜黄素(1μM)照射后,使用BCA算法(灰色条)与传统MLR量化测定(白色条)比较微生物对数减少(MLR)。相对于未处理的阴性对照计算对数减少。使用双向方差分析进行统计分析
总结
食品加工行业中食品接触表面的微生物污染是一个重大的健康危害。评估食品加工过程中使用的消毒剂的功效对于确保公众健康和安全至关重要。本研究描述了一种使用oCelloScope量化抗菌处理后存活细菌细胞数量的光学筛选方法,以微生物对数减少(MLR)表示。研究人员测试了两种消毒剂次氯酸钠和苯扎氯铵对三种病原体(肠炎沙门氏菌、大肠杆菌O157:H7和单核细胞增生李斯特氏菌)的干燥细菌的功效食品加工表面上令人担忧的问题。不锈钢载玻片用于模拟商业食品加工表面。在对不锈钢表面进行抗菌处理之前,将细菌细胞在75%的相对湿度(RH)下干燥,并通过平板计数分析存活水平以计算MLR。这些与使用oCelloScope生成的MLR值进行了比较,使用oCelloScope分析MLR,将细胞在75%RH的聚苯乙烯微量滴定板上干燥,用抗菌剂处理,并分析存活的细胞数量。结果表明,使用oCelloScope的BCA算法计算的处理过的干燥细胞的MLR值与使用传统平板计数测定法生成的值相当,抗菌剂针对所有测试病原体的浓度和处理时间相同,这说明该方法可用于快速筛选溶解性抗菌化合物的MLR。oCelloScope可用作量化抗菌剂功效的快速筛选方法。由于平板计数测定通常需要数天时间来量化抗菌化合物对病原体的影响,因此oCelloScope有可能节省宝贵的时间和精力。此外,使用oCelloScope进行分析所需的一次性用品明显少于用于标准平板计数的一次性用品。这有助于降低实验室成本和产生的废物量,使其更加环保。
相关新闻推荐
1、新型纳米复合材料介孔m-TiO?/Ag对大肠杆菌和铜绿假单胞菌生长、抑制作用(二)
