娄地青霉菌分生孢子萌发的培养基用丙氨酸和精氨酸,τ最长可达33.5小时
娄地青霉菌因其用于生产蓝纹奶酪而闻名,但它也是一种食物腐败真菌,例如黑麦面包和乳制品。娄地青霉菌在高CO2浓度(高达84.8%)、低O2水平(低至0.3%)和低温(低至0°C)下生长的能力使该物种与其他丝状生物区分开来真菌并使其成为常见的腐败真菌。娄地青霉菌有助于变质通过空气、水或其他载体分散大量称为分生孢子的抗压无性孢子。真菌分生孢子的萌发以活化、膨胀和胚管形成阶段为特征97)。静止分生孢子的激活导致孢子肿胀。在这个各向同性生长时期之后是极化生长,导致产生长出菌丝的胚管。到目前为止,娄地青霉菌的营养需求分生孢子未知。然而,已经研究了水分活度(aw)、温度和pH值对这些孢子萌发的影响。建模显示娄地青霉菌分生孢子在-0.2至33°C的温度下发芽,最佳温度为26.9°C。最适pH值接近5.6,介于2.84和13.8之间,而水分活度(a w)的下限为0.83,最适pH值为0.98。当暴露在最佳条件下10小时后开始发芽。分生孢子的萌发也受到分生孢子生产过程中条件的影响。例如低温和低aw,但不是pH值,在孢子形成过程中显著减少了发芽时间。在这里,本论文研究人员研究了娄地青霉菌分生孢子萌发的培养基要求。数据显示,葡萄糖、丙氨酸和精氨酸可激活12-21%的分生孢子萌发。如果有的话,其他氨基酸在诱导发芽方面的效果要差得多。在所有情况下,在胚管形成之前,分生孢子的肿胀是最小的,甚至无法检测到。
丹麦Biosense微生物生长动态监测系统的应用
在150μL NPS(70.6 mM NaNO3,11 mM Na2HPO4)的96孔悬浮培养的每孔中接种总数为6 10 3的孢子/NaH2PO 4(pH 6.0)、2 mM MgSO4)含有或不含有6.71 mM KCl和/或10 mM碳源(即葡萄糖或20种蛋白质L-氨基酸中的一种)。MilliQ纯水用作基线条件。使用oCelloScope(Biosense Solutions)在25°C下在线监测分生孢子的萌发。使用UniExplorer软件版本8.1.0.7682-RL2。培养1小时后开始测量(使用生物三次重复和技术重复),使分生孢子能够沉降在井底。在前24小时内每小时扫描一次物体,在接下来的48小时内每2小时扫描一次。选择其中的一个孔的一个子部分区域进行分析。扫描区域长度设置为4,05,对象区域(最小-最大)设置为70-1500像素,最大对象数设置为1500。使用oCelloScope XY坐标和自定义R脚本随时间跟踪单个对象。分生孢子聚集体和t处的非分生孢子对象=1 h从数据集中手动删除。
实验结论
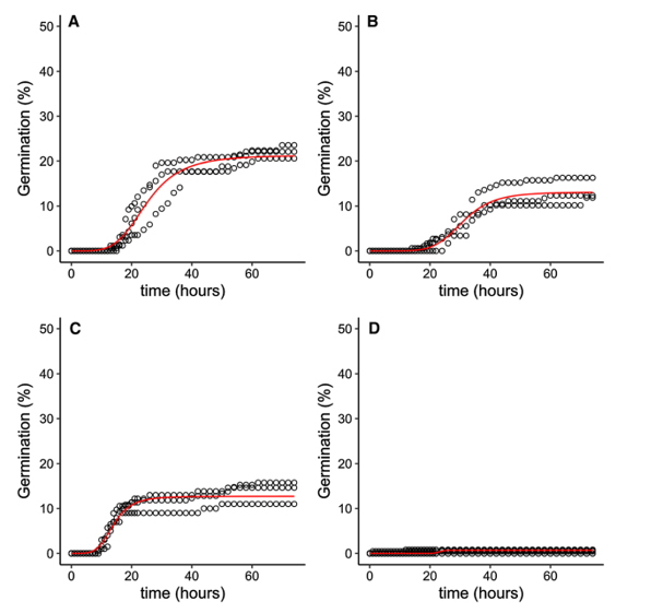
评估了娄地青霉菌分生孢子在水或由NaNO3、Na2HPO 4/NaH2O4、MgSO4组成的确定培养基中的萌发情况和KCl(KNPS)补充或不补充葡萄糖或20种蛋白质氨基酸之一。根据不对称模型,在这些碳源中,只有葡萄糖、精氨酸和丙氨酸在72小时期间诱导发芽>10%。孢子的整体低发芽百分比(在精氨酸存在下获得的最大百分比为21.18%)可以用低营养条件来解释,因为麦芽提取物中的发芽导致高达90%的孢子发芽,这是相似的与麦芽提取物琼脂上的发芽率相比。特别是在存在精氨酸和丙氨酸的情况下,部分孢子形成了没有可检测到的肿胀的胚管。在纯水中也观察到了娄地青霉菌的萌发。分生孢子可能不需要外部触发器来开始发芽,但触发器只是加速了这个过程。
图1、用于描述青霉菌属分生孢子在KNPS(6.71 mM KCl、70.6 mM NaNO3、11 mM Na2 HPO4/NaH2PO 4(pH 6.0)、2 mM MgSO 4)中形成胚芽管的不对称模型,辅以10 mM精氨酸(A)、丙氨酸(B)、葡萄糖(C)、Milli-Q(D)作为对照。心点代表两次技术重复的平均值。
图2、非对称模型的参数估计,用于描述娄地青霉菌芽管形成的芽管存在10mM葡萄糖(G)或10mM的蛋白质源氨基酸(AA)之一的存在。
图3、随着时间的推移,在KNPS+精氨酸(红色)、丙氨酸(绿色)或葡萄糖(蓝色)中培养的娄地青霉菌的单个发芽分生孢子的像素中的Δ面积(面积t=x-面积t=1)。黑点显示NPS+丙氨酸中正在发芽的A.niger分生孢子。
图4、用oCelloScope(标尺,15μm)检测娄地青霉菌在KNPS+丙氨酸(a)、精氨酸(B)和葡萄糖(C)中的萌发情况。沉降1小时后开始成像,间隔1小时(1-23小时)和2小时(23-41小时)。
图5、干酪乳杆菌分生孢子在麦芽提取物肉汤中的肿胀示意图。箭头表示肿胀的分生孢子。
总结
娄地青霉菌用于生产蓝纹奶酪,但也是一种腐败真菌。它通过形成分生孢子进行无性繁殖。这些孢子的萌发可以开始食物的腐败过程。发芽的典型特征是活化、膨胀和胚管形成过程。在这里,我们研究了娄地青霉菌分生孢子萌发的营养需求。研究中使用了oCelloScope微生物动态监测系认及时监测在每种条件>300个分生孢子,并使用不对称模型来描述发芽过程。孢子在NaNO3、Na2 PO 4/NaH2PO 4、MgSO 4中培养72小时和KCl与10 mM葡萄糖或20种蛋白质氨基酸中的1种10 mM。在葡萄糖的情况下,形成胚管的最大孢子数(P max)为12.7%,而达到0.5 P max(τ)所需的时间约为14小时。精氨酸和丙氨酸是最具诱导性的氨基酸,其胚管形成的P max分别为21%和13%,τ最长可达33.5小时。与真菌分生孢子萌发的典型阶段相反,数据显示娄地青霉菌分生孢子可以在没有可检测到的肿胀阶段开始形成胚管。
相关新闻推荐
1、源自丹麦奶酪盐水的天然汉森德巴利菌菌株生长曲线及抗真菌活性
2、牛肉调味基料对大肠杆菌、乙型副伤寒沙门氏菌、金黄色葡萄球菌生长的控制作用
3、巨大芽孢杆菌BM24生长曲线、耐药性、益生潜力评估及药敏试验(三)
