源自丹麦奶酪盐水的天然汉森德巴利菌菌株生长曲线及抗真菌活性
霉菌污染是食品加工中的一个主要问题,它不仅会导致严重的经济损失和食品浪费,而且可能影响食品安全。在乳制品行业,当奶酪与加工设备和空气接触时,霉菌污染会出现在整个奶酪生产过程中。霉菌生长在奶酪成熟、储存和配送过程中尤为明显,这会导致奶酪质量下降,包括可见和不可见的缺陷,例如霉菌定植、异味和霉菌毒素形成的潜在风险。因此,抗真菌化合物和潜在的生物防治剂越来越受到关注,以防止奶酪上污染霉菌的生长。由于其简单的培养要求和有限的生物安全问题,酵母被认为与生物防治应用相关。许多酵母种类已被证明对霉菌具有拮抗活性,但主要用于控制果实采后病害。D.hansenii是一种嗜盐酵母,在与大多数奶酪品种相关的酵母物种中占主导地位。之前的研究中D.hansenii菌株已被证明表现出不同的抗真菌作用,然而需要进一步深入研究来探索这些作用。
之前的研究已经确定了D.hansenii的独特生长特征和NaCl耐受性然而,从丹麦奶酪盐水中分离出的菌株,它们抑制乳制品环境中霉菌污染物的潜在能力尚未得到探索。本论文研究人员对丹麦奶酪盐水中分离出的D.hansenii菌株对不同污染霉菌的抗真菌活性。研究人员使用OcelloScope微生物动态监测系统对检测了不同D.hansenii菌株对污染霉菌的萌发和生长的抑制能力,包括测定单一VOC的半数最大抑制浓度(IC 50)。
丹麦Biosense微生物生长动态监测系统的应用
200μL含有104孢子/mLMEB加100μL从每个D.hansenii菌株收集的无细胞上清液或100μL酵母蛋白胨(每升溶液里面含有5 g菌蛋白胨,3.0 g酵母提取物,将作为对照的40 g NaCl,pH 5.3)装入到96微量滴定板中,使用oCelloScope微生物动态监测系统在25°C下测量48小时的生长曲线来确定无细胞上清液对霉菌的抗真菌活性。使用了oCelloScope检测系统。该系统的像距为4.90μm,光照曝光时间为2 ms。对流体样品进行延时扫描显微镜检查,从而每2小时在每个孔中生成一系列6张图像。通过使用UniExplorer中的表面积分割和提取(SESA)算法自动生成生长曲线。
实验结论
研究的结果表明D.hansenii的抗真菌活性是复杂的,并且可能是由几种抑制性VOC的协同和/或相加作用产生的,而不是单一化合物的作用。同样,已证明经证实的生物防治酵母W.anomalus BS91和M.pulcherrima MPR3对包装新鲜水果中的采后病原霉菌的生长抑制是由VOC和CO 2的协同作用引起的。此外抑制镰刀菌属。在植物乳杆菌(以前称为植物乳杆菌)的无细胞上清液中生长)已被证明不是由乳酸菌产生的乳酸单独产生的。
图1、在25°C下接种72小时后,添加4%(w/v)NaCl的MYGP肉汤的生长和D.hansenii菌株的pH变化。
图2、来自D.hansenii菌株KU-9、KU-10、KU-11、KU-12、KU-27、KU-28、KU-29、KU-30、KU-72、KU-78和KU-80对使用oCelloScope TM测量为标准化SESA单位的五种霉菌的生长情况。(A)Cladosporium sinuosum,(B)镰刀菌,(C)毛霉菌,(D)Cladosporium inversicolor,(E)Penicillium roqueforti。每个点代表三个独立实验的平均值,误差条代表标准偏差。(F)oCelloScope监测C.inversicolor(蓝色)和P.roqueforti(红色)在酵母蛋白胨培养基(对照)中或在D.hansenii菌株KU-27的无细胞上清液存在下24小时的生长测量实时图像。这些研究结果表明D.hansenii无细胞上清液主要以霉菌物种依赖性方式影响萌发阶段,而不是以D.hansenii菌株依赖性方式。
图3、随着时间的推移,在KNPS+精氨酸(红色)、丙氨酸(绿色)或葡萄糖(蓝色)中培养的娄地青霉菌的单个发芽分生孢子的像素中的Δ面积(面积t=x-面积t=1)。黑点显示NPS+丙氨酸中正在发芽的A.niger分生孢子。
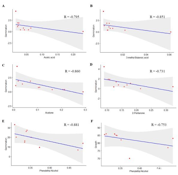
图4、化合物的相对发芽率或菌丝生长速率与相对峰面积之间的spearman相关系数散点图。(A)y轴:罗氏白僵菌发芽率;x轴:乙酸峰面积;(B)y轴:罗氏白僵菌发芽率;x轴:3-甲基丁酸的峰面积;(C)y轴:逆色芽萌发率;x轴:丙酮峰面积;(D)y轴:逆色芽孢杆菌的发芽率;x轴:2-戊烷的峰面积;(E)y轴:逆色芽孢杆菌的萌发率;x轴:2-苯乙醇的峰面积;(F)y轴:逆色偃麦草菌丝生长速率;x轴:2-苯乙醇的峰面积。
图5、6、7天后五种VOCs对霉菌菌丝膜形成的抑制作用。为了确认IC 50结果以及评估暴露于不同浓度的目标VOC的长期影响,随后在培养7天后通过目视检查对菌丝体表皮形成的完全抑制进行评分。
总结
评估了从丹麦奶酪盐水中分离出的天然汉森德巴利菌菌株对乳制品工业中的污染霉菌的拮抗活性。使用脉冲场凝胶电泳(PFGE)测定染色体多态性揭示了D.hansenii菌株之间的巨大遗传异质性。应用oCelloScope微生物动态监测系统测试了11种D.hansenii菌株抑制污染霉菌的发芽和生长的能力,这些霉菌经常出现在丹麦的奶牛场,即黑枝孢菌、中华绒毛孢菌、燕麦镰刀菌、总状毛霉和罗克福提青霉。研究表明从丹麦盐水中分离出的D.hansenii本地菌株对特定的污染霉菌具有拮抗作用,并指出D.hansenii菌株作为生物?;づ嘌锏姆⒄梗攵阅汤已嗡湍汤冶砻?。
相关新闻推荐
1、枯草芽孢杆菌JN005胞外抗菌物质对稻瘟病菌生长抑制作用研究(一)
