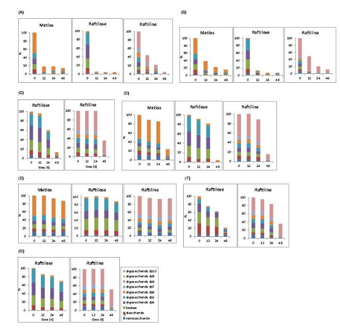
通过获得的生长曲线证实了所有果聚糖(不论是较高的dp和较低的分支度)都表现出显着的生长促进作用。嗜酸乳杆菌和副干酪乳杆菌CRL431快速使用了与dp无 ...
欢迎来到BioSense网站!
通过获得的生长曲线证实了所有果聚糖(不论是较高的dp和较低的分支度)都表现出显着的生长促进作用。嗜酸乳杆菌和副干酪乳杆菌CRL431快速使用了与dp无 ...
研究了三种HMO、其他常用益生元和寡糖成分对众多双歧杆菌、乳酸杆菌和潜在致病菌的影响。评估纯培养物生长的方法既可靠又可重复,但也存在差异。HMOs的利 ...
随着血培养对临床帮助越来越大,血培养送检率也越来越高,但血培养结果回报太慢是临床医生对血培养满意度最低之处。Bact/Alert 3D血培养仪报阳时间 ...
?食品储存包括从食品原料加工为食品开始,经过厂内贮藏、运输、批发、销售,最终被消费者消费的整个过程。从微生物角度分析,在此过程中其处于延迟期,一旦渡过 ...
牛病毒性腹泻病毒感染是危害养牛业的重要疾病,开发检测和诊断牛病毒性腹泻的快速诊断技术对牛病毒性腹泻的防控及净化、推动养牛业健康发展具有重要的意义。为了 ...
测定高效乳酸菌和纤维素分解菌混合培养有无相互抑制作用是本研究的主要目的。在本研究中主要应用严萍(2011)从青贮玉米中分离得到的高效乳酸菌与本科研组人 ...
本文用点种法定性初筛、酶标法及牛津杯法定量复筛,从实验室保存的在海洋生物体中分离得到的未知海洋微生物中筛选对大黄鱼病原性哈维氏弧菌(Vibrio ha ...
?基于群体感应的自杀基因回路能赋予宿主菌在一定密度时启动自杀的特性。在连续培养条件下可以形成菌群密度的周期振荡。这样的振荡作为基因组件,在合成生物学上 ...
头花蓼对H.pylori最低抑菌浓度MIC为4 g/L,头花蓼组H.pylori生长曲线位于对照组之下,Real-time PCR结果显示头花蓼作用后 ...
?探讨曲古抑菌素(trichostatin A,TSA)对大鼠骨髓间充质干细胞(marrow mesenchymal stem cells,MSCs) ...