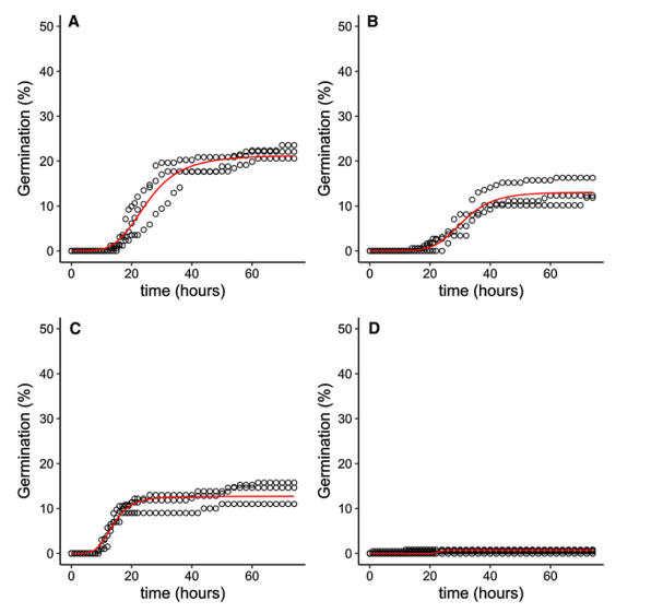
本论文研究人员研究了娄地青霉菌分生孢子萌发的培养基要求。数据显示,葡萄糖、丙氨酸和精氨酸可激活12-21%的分生孢子萌发。如果有的话,其他氨基酸在诱导 ...
欢迎来到BioSense网站!
本论文研究人员研究了娄地青霉菌分生孢子萌发的培养基要求。数据显示,葡萄糖、丙氨酸和精氨酸可激活12-21%的分生孢子萌发。如果有的话,其他氨基酸在诱导 ...
目前,在传统酱油酿造过程中包含低盐固态酿造和高盐稀态酿造这两种工艺,其中,低盐固态酿造过程容易受到细菌的污染,从而产生低质量的代谢产物,导致蛋白质原料 ...
微藻固碳具有天然优势,目前研究者们从自然界分离出大量藻种用于污水处理,自然分离纯化费时费力且往往效果不及突变株。运用工程策略和特定环境驯化可以有效提高 ...
实验通过测定阴离子表面活性剂(SDS)和非离子表面活性剂PEG6000对4株细菌胁迫后生长曲线的变化后发现,低浓度(0.2g/L))的SDS对细菌的生 ...
本实验选择4株细菌作为研究对象。2株革兰氏阳性菌:枯草芽孢杆菌和简单芽孢杆菌;2株革兰氏阴性菌:大肠杆菌和变形杆菌。用不同浓度的表面活性剂PEG600 ...
?从蒙自桤木(Alnusnopalensis)根瘤中分离得到4株Frankia,对其进行了形态学研究,并对An12菌株进行了生长曲线测定。 ...
不同浓度的ATRA是否会对胰腺癌PANC-1和骨肉瘤U2OS细胞产生不同的影响还未有研究,因此在本文中我们用浓度跨度较大的ATRA处理这两种细胞。实验 ...
使用oCelloScope?系统(BioSense Solutions,Farum,丹麦)对与两种屏障类型接触的药物颗粒的潜在溶解进行显微镜观察。将疏 ...
在目前的研究中,研究人员提出了一种基于噬菌体基因组学的筛选方法来识别噬菌体HPUFs具有抗菌活性,研究的长期目标是利用它们寻找未知的线索目的开发新型抗 ...
本论文研究的目的是确定噬菌体Bc431v3的基因组序列,并结合科学文献和GenBank中现有的噬菌体对其基因进行注释和结构功能鉴定。Biosense生 ...