藜麦和蓝靛果酵母菌株筛选、培养、计数及混菌液态发酵工艺优化(四)
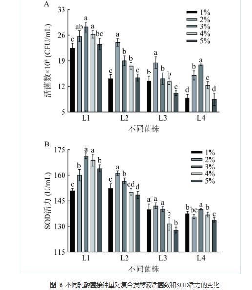
2.2.3不同乳酸菌接种量对复合发酵液活菌数和SOD活力的影响
接种量会影响藜麦-蓝靛果复合发酵液中的菌液浓度,进而影响发酵时间与发酵进程。由图6A和图6B可知,四种乳酸菌分别在最佳发酵时间发酵时,随接种量递增,活菌数和SOD值均呈先上升后下降的抛物线趋势。接种量2%时,L2和L3的藜麦-蓝靛果复合清汁活菌数和SOD值最大,分别为24.143×108 CFU/mL、161.333 U/mL,18.627×108 CFU/mL、142.388 U/mL;接种量3%时,L1和L4的复合清汁活菌数和SOD值均达到最大,分别为28.300×108 CFU/mL、171.556 U/mL,18.100×108 CFU/mL、140.444 U/mL。综上,复合清汁中接种L1和L4的最佳接种量为3%,接种L2和L3的最佳接种量为2%,故选用SOD活力高的L1和L2进行后续复配比例的选择。
图6不同乳酸菌接种量对复合发酵液活菌数和SOD活力的变化
2.2.4不同乳酸菌复配比例对复合发酵液活菌数和SOD活力的影响
由图7A、图7B可知,L1和L2以不同比例复配进行24 h发酵,发酵过程中活菌数和SOD值随着复配比例的减少均呈先上升后下降的趋势,在接种量为2%时,L1和L2的复配比例均为1:1时,藜麦-蓝靛果复合发酵液活菌数和SOD值均达到最大,分别为27.250×109 CFU/mL、174.000 U/mL;在接种量为3%时,L1和L2的复配比例为2:1时,复合发酵液活菌数和SOD值达到最大,分别为24.490×108 CFU/mL、170.333 U/mL。选用接种量为2%时,复合发酵液的活菌数及SOD值高于接种量为3%时的活菌数及SOD值。综上,接种L1和L2的最佳接种量为2%,其复配比例为1:1。
图7 L1和L2不同复配比例对复合发酵液活菌数和SOD活力的变化
注:大写字母代表接种量为2%的组内差异性(P<0.05),小写字母代表接种量为3%的组内差异性(P<0.05)。
2.3酵母菌乳酸菌复合发酵
2.3.1单因素实验
SOD是发酵液的功效酶之一,可催化超氧阴离子自由基(O2?·)歧化成分子氧和过氧化氢,在应对氧化应激中起关键作用,GABA主要是由谷氨酸或其盐类在谷氨酸脱羧酶的催化下发生不可逆的α-脱羧反应形成的,在发酵体系中被广泛研究。不同菌株适宜生长和耐受pH是不同的,发酵过程中,初始pH影响着微生物的生长及其代谢产物的生成。由图8A可知,SOD活力和GABA含量随着初始pH的增大呈先上升后下降的趋势,可能是SOD化学本质为蛋白质,其结构易受pH、温度等物理或化学因素影响,导致空间结构被破坏,酶活性降低;由图8B可知,随着发酵温度的升高,SOD活力和GABA含量先升高后下降,在发酵温度为37℃时,发酵液的SOD活力达到最大值282.269 U/mL,GABA含量达到最大值0.636 mg/mL,Dong等对乳酸菌筛选研究表明发酵温度越高,乳酸菌的乳酸产量越大,发酵效果越好,但温度过高会破坏一些结构不稳定的活性物质,导致导致有机酸被分解出来,酸性环境不利于菌株的生长,导致SOD活力和GABA含量均会下降。
图8不同初始pH、发酵温度、复配比例和白糖添加量对发酵液中SOD活力及GABA含量的影响
注:大写字母代表SOD的组内差异性(P<0.05),小写字母代表GABA含量的组内差异性(P<0.05)。
由图8C、图8D可知,在原料复配比例为1:3时,SOD活力达到最大值310.185 U/mL,在原料复配比例为1:1时,GABA含量达到最大值0.637 mg/mL。随着白糖添加量的增加,SOD活力和GABA含量呈上升趋势,当白糖添加量超过10%时,SOD活力及GABA含量下降。糖为酵母菌和乳酸菌生长提供碳源,酵母菌和乳酸利用糖进行生长繁殖并完成营养代谢的过程,若发酵体系中含糖量过高,发酵体系形成高渗透压状态,抑制了发酵菌种的生长和代谢,导致产酶活力下降,从而抑制菌的生长,最终影响SOD活力和GABA含量。
综上,确定发酵液初始pH为5.0,原料复配比例为1:3,白糖添加量为10%,发酵温度为37℃。
