?4株金黄色葡萄球菌噬菌体形态、生物学特性、生长曲线及基因组特征(二)
2、结果与讨论
如图1,本研究以金葡菌ATCC 29213为宿主菌,通过双层平板法,从扬州市内污水样品中分离得2株SA烈性噬菌体,分别命名为SAPYZU-04和SAPYZU-15。利用丝裂霉素C从已分离纯化的金葡菌YZUsa13和YZUsa14中诱导出2株温和噬菌体,分别命名为SAPYZU-SapM13和SAPYZU-SapM14。4株噬菌体的噬菌斑均呈圆形透亮、边界清晰,直径为0.8~1.5 mm。
图1噬菌斑形态图
2.1噬菌体的电镜形态
通过透射电镜观察噬菌体微观形态,结果如图2所示。烈性噬菌体SAPYZU-04和SAPYZU-15均有一个呈正多面体结构头部和一个可伸缩的尾巴,头部长度分别约为64.96 nm和88.68 nm,尾部长度约为165.03 nm和176.89 nm。而温和噬菌体SAPYZU-SapM13和SAPYZU-SapM14均有一个呈椭球形头部和一个不可伸缩的长尾,头部长度分别约为长直径:84.26、71.82 nm和短直径:44.73、47.71 nm,尾部长度约为254.43 nm和266.17 nm。结果显示烈性噬菌体SAPYZU-04和SAPYZU-15的显微形态与党瑞莹等、张志宏等和涂尊方等的研究一致;而温和噬菌体SAPYZU-SapM13和SAPYZU-SapM14的电镜形态与Zhang等、Yang等和Feng等的研究结果一致。
图2噬菌体的形态
2.2裂解谱
应用空斑法测试噬菌体SAPYZU-04、SAPYZU-15、SAPYZU-SapM13和SAPYZU-SapM14对51株金葡菌菌株YZUsa1-YZUsa47、ATCC 29213、MRSA 85/2082、MRSA JCSC4744、MRSA WZ153和5株其他菌属菌株的裂解特性,结果如表1所示。烈性噬菌体SAPYZU-04和SAPYZU-15均能裂解51株金葡菌,裂解率为100%,并且噬菌斑较透亮,+++数量均达到56%;而噬菌体SAPYZU-SapM13能裂解48株SA菌株,裂解率为94%,噬菌体SAPYZU-SapM14能裂解44株SA菌株,裂解率为86%。然而,这4株噬菌体对于单核增生性李斯特菌ATCC 1911、肠炎沙门氏菌CICC 21513、大肠杆菌CICC 10664、最小弧菌CICC21613以及霍氏肠杆菌Eh-YZU05均没有裂解能力。4株噬菌体SAPYZU-04、SAPYZU-15、SAPYZU-SapM13和SAPYZU-SapM14均比王一帆等(1/11,9%)、Yang等(13/30,43%)、党瑞莹等(23/63,36%)、Feng等(61/138,44%)和张志宏等(10/37,27%)分离的噬菌体的裂解谱更宽。噬菌体较宽的宿主谱是其用于生物防治的重要特性,因此,噬菌体裂解谱的测定对于选择应用于食品中的生物抑菌剂至关重要。此外,温和噬菌体SAPYZU-SapM13和SAPYZU-SapM14在进行宿主谱测定实验时,对他们的溶原菌仍有裂解作用,该结果与Zhang等和Feng等的研究一致。研究表明一些噬菌体裂解宿主菌是一种“从外裂解”的过程,这个过程是高浓度噬菌体吸附宿主菌后快速破坏宿主细菌细胞。因此,本研究的温和噬菌体SAPYZU-SapM13和SAPYZU-SapM14进行宿主谱测定时浓度远大于宿主细菌细胞是其显示裂解特性的原因之一。
表1噬菌体的宿主谱
2.3最佳MOI
用不同MOI比例的噬菌体SAPYZU-04、SAPYZU-15、SAPYZU-SapM13和SAPYZU-SapM14感染宿主菌,培养8 h后测定噬菌体效价。如图3所示,噬菌体SAPYZU-04在MOI为0.01(P<0.05)时,效价最高(约为109PFU/mL);噬菌体SAPYZU-15在MOI为0.000 1时,效价最高(约为1010PFU/mL);噬菌体SAPYZU-SapM13在MOI为0.1时,效价最高(约为1010PFU/mL);噬菌体SAPYZU-SapM14在MOI为0.01(P<0.01)时,效价最高(约为109PFU/mL)。因此,噬菌体SAPYZU-04、SAPYZU-15、SAPYZU-SapM13和SAPYZU-SapM14的最佳MOI分别为0.01、0.000 1、0.1和0.01。
图3噬菌体最佳MOI测定结果
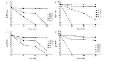
图4噬菌体的热稳定性
2.4噬菌体的热稳定性
如图4所示,金黄色葡萄球菌噬菌体SAPYZU-04、SAPYZU-15、SAPYZU-SapM13和SAPYZU-SapM14在40℃和50℃条件下作用1 h效价基本不变,效价分别为5.63×107、1.34×109、1.12×109和1.27×1010PFU/mL;在60℃条件下随着作用时间越长,噬菌体SAPYZU-04、SAPYZU-15、SAPYZU-SapM13和SAPYZU-SapM14效价越低。分别在70℃孵育40、20和20 min时,噬菌体SAPYZU-04、SAPYZU-15和SAPYZU-SapM14完全失活,而噬菌体SAPYZU-SapM13在70℃孵育60 min时完全失活。结果表明4株噬菌体SAPYZU-04、SAPYZU-15、SAPYZU-SapM13和SAPYZU-SapM14对高温的耐受能力均强于Kraushaar等报道的金葡菌噬菌体。
2.5噬菌体的耐酸碱能力
如图5所示,噬菌体SAPYZU-04、SAPYZU-15、SAPYZU-SapM13和SAPYZU-SapM14在酸度较高的环境(pH值为2)中会完全失活;在pH值为3~12时活性较稳定。在pH值为5时,噬菌体SAPYZU-04的效价最高为1.31×107PFU/mL(P<0.05);pH值为9时,噬菌体SAPYZU-15的效价最高为8.94×106PFU/mL;而噬菌体SAPYZU-SapM13和SAPYZU-SapM14在pH值为8时效价最高,分别为9.18×107PFU/mL和9.52×107PFU/mL。结果表明噬菌体SAPYZU-04、SAPYZU-15、SAPYZU-SapM13和SAPYZU-SapM14在pH值为3~12范围内均保持良好活性,其对酸碱的耐受能力均强于卢玮等分离的金葡菌噬菌体(pH值为6~11范围内稳定)。
图5噬菌体的耐酸碱能力
4株金黄色葡萄球菌噬菌体形态、生物学特性、生长曲线及基因组特征(一)
4株金黄色葡萄球菌噬菌体形态、生物学特性、生长曲线及基因组特征(二)
4株金黄色葡萄球菌噬菌体形态、生物学特性、生长曲线及基因组特征(三)
相关新闻推荐
2、胰岛素对昆虫病原线虫及其共生细菌伯氏致病杆菌生长、寿命的影响(一)
3、不同温度、pH值及H?O?作用下减毒沙门氏菌生长曲线及细菌生物膜的形成——讨论
