不同微生物菌剂处理对秸秆降解率、可培养细菌/真菌/放线菌数量影响
2结果与分析
2.1不同微生物菌剂处理对秸秆降解率的影响
从图1可以看出,不同处理对秸秆降解率有很大差异,在降解试验设置时间内,处理1的秸秆降解率明显高于对照组和处理2,对照组的秸秆降解率始终高于处理2,表明单独添加哈茨木霉菌剂处理秸秆,其降解率高于不添加菌剂和添加哈茨木霉+地衣芽胞杆菌混合菌剂。添加哈茨木霉+地衣芽胞杆菌混合菌剂,其降解率低于不添加任何菌剂的对照组。
图1不同微生物菌剂处理对秸秆降解率的影响
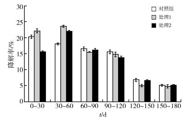
2.2不同微生物菌剂处理、不同降解时段对秸秆降解率的影响
从图2可以看出,处理1与对照组相比,在0~30 d和30~60 d时段,处理1的秸秆降解率明显高于对照组,从第60天开始,处理1的降解率始终低于对照组,但是总降解率始终是处理1高于对照组;处理2与对照组相比,在0~30 d,处理2的降解率明显低于对照组,但30~60 d出现一个降解高峰,之后处理2的降解率始终低于对照组,但总降解率对照组高于处理2;处理1与处理2相比,在0~30 d和30~60 d时段,处理1的秸秆降解率明显高于处理2,之后的降解率没有明显规律,相互有高有低,但总降解率始终是处理1高于处理2。
图2不同微生物菌剂处理、不同降解时段对秸秆降解率的影响
2.3不同微生物菌剂处理对秸秆中可培养细菌数量的影响
从图3可以看出,处理1在0~30 d时可培养细菌数增加迅速,第120天时达到峰值为2.00×109cfu/g,之后缓慢下降;从处理1的整个试验时段来看,可培养细菌数增加和下降速度较缓慢,在第180天时,可培养细菌数仍为1.02×109cfu/g。
图3不同微生物菌剂处理对秸秆中可培养细菌数量的影响
对照组和处理2可培养细菌数在0~120 d时一直呈上升趋势,第120天时达到峰值,分别为3.92×109cfu/g和3.10×109cfu/g,可培养细菌数明显高于处理1,之后迅速下降,在第180天时,可培养细菌数已分别下降至0.58×109cfu/g和0.48×109cfu/g,可培养细菌数均低于处理1。
相关性分析表明,在前30 d,秸秆降解率与可培养细菌数呈正相关,相关系数达到0.935 4。第30天后,秸秆的降解率受其他因素影响较大,与秸秆中细菌数量不相关。
2.4不同微生物菌剂处理对秸秆中可培养真菌数量的影响
从图4可以看出,处理1秸秆中可培养真菌数在0~30 d快速增加,在第90天达到峰值为1.9×107cfu/g,之后快速下降;对照组和处理2在0~60 d时,可培养真菌数增加缓慢,之后快速增加,分别在第90天和120天时达到峰值,为1.14×107cfu/g和1.54×107cfu/g,然后缓慢下降。对照组和处理1比处理2的真菌数最高点出现早30 d;处理1和处理2的可培养真菌数在0~120 d均高于对照组。
图4不同微生物菌剂处理对秸秆中可培养真菌数量的影响
相关性分析表明,前30 d秸秆降解率与秸秆中可培养真菌数高度相关,相关系数为0.870 5;30~90 d则有很小相关性;第30天后,秸秆降解与秸秆中可培养真菌数不相关。
2.5不同微生物菌剂处理对秸秆中可培养放线菌数量的影响
从图5可以看出,在试验时段的前30 d,放线菌数量快速增加,处理1增加数量明显高于对照组和处理2;在90~120 d时,三个处理都未能检测到放线菌,在150~180 d时,三个处理的放线菌数量均同时大量出现,之后对照组和处理1均快速下降,只有处理2呈上升趋势。分析三个处理的秸秆中90~120 d均未能检测到放线菌,可能是真菌、细菌大量增加抑制了放线菌的生长所致。
图5不同微生物菌剂处理对秸秆中可培养放线菌数量的影响
相关性分析表明,前30 d秸秆降解率与秸秆中可培养放线菌数高度相关,相关系数为0.924 5;30 d后,秸秆降解与秸秆中可培养放线菌数不相关。
3讨论
本研究发现,不同微生物菌剂对秸秆降解作用不同,单独添加哈茨木霉菌剂处理秸秆能显著提高秸秆降解率,前期作用尤其明显;添加哈茨木霉+地衣芽胞杆菌混合菌剂降低了秸秆降解率,前期尤其显著。由于土壤和秸秆中携带具有降解秸秆功能的菌群,可能添加的地衣芽胞杆菌与其他秸秆降解微生物竞争养分,抑制了哈茨木霉和其他具有降解秸秆功能的微生物生长。国内外研究表明芽胞杆菌有促进植物生长的作用[28-31],但可能对秸秆降解作用不明显。
不同处理对秸秆中可培养真菌、细菌、放线菌数量的影响显著不同。秸秆上生长的各种微生物分泌的酶类对秸秆降解起重要作用,相关性分析表明,在秸秆降解的前30 d,秸秆降解率与秸秆中生长的可培养真菌、细菌、放线菌数量呈显著正相关。在秸秆分解的其他时间段,秸秆降解率与秸秆中可培养微生物相关性小,可能在秸秆降解的中后期,秸秆降解率与秸秆中不可培养微生物、土壤动物等大量出现有关。
不同微生物菌剂对秸秆中微生物数量变化影响显著,接种哈茨木霉处理的秸秆中真菌、细菌、放线菌数在前30 d明显高于对照和哈茨木霉+地衣芽胞杆菌混合菌剂处理,差异显著;可培养细菌数均在120 d左右达到峰值,但是对照组和哈茨木霉+地衣芽胞杆菌混合菌剂处理的可培养细菌总数明显高于哈茨木霉处理;哈茨木霉处理和对照组的可培养真菌总数峰值出现在第90天,哈茨木霉+地衣芽胞杆菌混合菌剂处理在第120天达到峰值,并且哈茨木霉处理和对照组的真菌总数峰值明显比哈茨木霉+地衣芽胞杆菌混合菌剂处理的峰值高;在秸秆降解30 d后,三个处理的秸秆中都未能检测到放线菌,说明菌数未处于检测范围,可能与真菌、细菌数量大量增加后,抑制了放线菌的生长所致。
刘佳斌等[32]研究表明,在秸秆还田条件下,玉米抽雄期土壤放线菌数量明显低于其他生长期,放线菌数量与植物生长期也有关。秸秆降解后期,对照组和哈茨木霉处理的秸秆中放线菌数量均大幅度下降,哈茨木霉+地衣芽胞杆菌混合菌剂处理的秸秆中放线菌数量仍呈上升趋势,而木霉有防治植物病害作用[33],后期的抑制病害作用可能与放线菌数量的增加有一定关系。
温室大棚内不同微生物菌剂对秸秆降解率影响(培养基、实验方法)
不同微生物菌剂处理对秸秆降解率、可培养细菌/真菌/放线菌数量影响
