李斯特菌ST87在25°C不同营养条件下牛肉和蔬菜汁中的生长曲线
病原生物的生物膜发育在某些食源性疾病中起着关键作用。单核细胞增生李斯特菌,特别是序列87型(ST87),在中国已被广泛发现。本研究旨在监测食物分离的单核细胞增生李斯特菌株ST87在不同营养条件下生物膜形成的动态过程。结果表明,该菌株在营养丰富和营养有限的条件下都能始终表现出较高的活细胞计数。通过细胞计数,我们发现单核细胞增生李斯特菌ST87能够在各种营养环境中形成生物膜,包括牛肉汁和蔬菜汁,将水平维持在2 Log10 CFU/cm以上2.值得注意的是,在营养有限的条件下,生物膜的形成速度加快,营养有限的蔬菜汁下的细胞计数明显高于营养丰富的蔬菜汁下的细胞计数。对细胞外聚合物物质(EPS)组成的分析显示,生物膜内的活细胞计数和细胞外蛋白变异之间存在一致的模式。此外,对培养基中营养成分(蛋白质、脂肪、总糖、灰分和pH值)的评估揭示了细胞外物质与pH值之间的正相关,但与其他营养成分之间存在负相关。
将制备的两种单核细胞增生李斯特菌株的生物量分别加入到各培养基(TSB-YE、DTSB-YE、BBB、DBBB、VBB和DVBB)中,比例为1:10,使单核细胞增生李斯特菌密度约为103CFU/毫升。将每组接种的培养液的体积为200μL,一式三份分配到100孔蜂窝®微孔板的孔中。使用Bioscreen C(Oy Growth Curves Ab Ltd.,Helsinki,Finland)在25°C下以中等强度连续振荡72小时,并在600nm波长(OD 600)OD下测量光密度600每2小时测量一次。将每种无菌培养物作为对照纳入并用于校正OD600值。该实验是用两个独立的生物学重复进行的,每个重复在三个技术上平行。
本研究旨在评估单核细胞增生李斯特菌株在各种营养条件下牛肉和蔬菜汁中的生物膜形成潜力。主要目的是:(1)探索不同浓度下单核细胞增生李斯特菌ST87生物膜在残留食品(牛肉汁和蔬菜汁)中的粘附和动态发育,以及(2)进行定量分析并关联该菌株在不同营养条件下产生的EPS。
图1.单核细胞增生李斯特菌ST87和ATCC 19112在不同温度下TSB-YE(a,b)和DTSB-YE(c,d)形成的生物膜中的活力
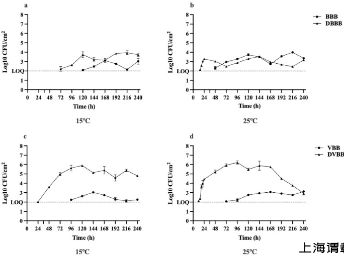
图2.单核细胞增生李斯特菌ST87菌株在不同温度下在牛肉(a,b)和蔬菜汁(c,d)中形成的生物膜中的活力。
图3.单核细胞增生李斯特菌ST87在25°C不同营养条件下的生长曲线。
图4.测定在25°C下在不同营养条件下形成的生物膜中ST87细胞外物质含量。注:a、d、g代表细胞外蛋白含量测定,b、e、h代表细胞外多糖含量测定,c、f、i代表细胞外DNA含量测定,a-c代表不同浓度TSB-YE下形成的生物膜,d-f代表不同浓度牛汤下形成的生物膜,g-i代表不同浓度蔬菜汁下形成的生物膜。
图5.25°C时ST87生物膜中活细胞计数和细胞外蛋白含量的趋势。
图6.25°C下ST87生物膜中的细胞外物质与生长培养基中的营养成分之间的Spearman相关系数热图,以及培养时间。
结论:本研究表明,分离出的单核细胞增生李斯特菌ST87菌株具有较强的生物膜形成能力,使得该菌株在食物残渣提供的营养丰富和营养有限的环境中容易形成生物膜,从而对人类健康和安全构成风险。稀释培养基中营养物质减少的存在可能会对单核细胞增生李斯特菌造成压力,导致生物膜形成加速和EPS丰度增加。此外,生物膜细胞外成分与培养基营养成分以及孵育时间之间的Spearman相关性分析为识别促进生物膜生长和减少生物膜形成的特定因素提供了新的见解。
相关新闻推荐
1、大肠杆菌在不同氧环境下生长特性:耗氧情况下比厌氧情况下生长更好
2、草鱼呼肠孤病毒培养与滴度测定、及在草鱼、CIK细胞上的生长特性研究(一)
