携带抗生素耐药基因沙门菌P1噬菌体-质粒效价、形态、一步生长曲线及最适温度(二)
1.2.3 P1-CTX噬菌体-质粒最佳感染复数测定
感染复数(multiplicity of infection,MOI)=噬菌体数量(plaque forming unit,PFU)/宿主菌数量(colony forming units,CFU)。不同MOI的效价最高时,即为最佳感染复数。受体菌沙门菌BYC4分别按照MOI值为:10-6、10-5、10-4、10-3、10-2、10-1、1、10混匀,37℃振荡培养4 h,过滤器除菌后将噬菌体10倍稀释后,噬菌斑法测定噬菌体效价,每组试验3个平行。
1.2.4 P1-CTX噬菌体-质粒一步生长曲线测定
噬菌体和受体沙门菌BYC4,按照最佳感染复数混匀。参照屈平平的研究,方法略有改动。每隔15 min取100μL,梯度稀释后噬菌体斑法测定其效价,每组试验3个平行。感染时间为X轴,噬菌体效价的log值为Y轴,绘一步生长曲线图。爆发量为裂解末期噬菌体效价/感染初期宿主菌浓度。
1.2.5 P1-CTX噬菌体-质粒最适生长温度测定
P1-CTX噬菌体-质粒分别于30℃、40℃、50℃、60℃、70℃和80℃水浴,分别在30、60和90 min各取3管,稀释后测其效价。
1.2.6 P1-CTX噬菌体-质粒pH稳定性测定
P1-CTX噬菌体-质粒分别加入900μL不同pH(2~13)的SM Buffer,37℃室温静置,分别30、60和90 min各取3管样品,稀释后测其效价。
1.2.7 P1-CTX噬菌体-质粒转导及宿主适应性测定
沙门菌或大肠埃希菌受体菌与噬菌体混合,涂布于含CTX 1 mg·L-1的LB固体培养基平板上。PCR的方法验证头孢噻肟琼脂培养基上转导菌株。
转导成功的大肠埃希菌和沙门菌及其原菌37℃连续培养12 h。使用酶标仪每隔2 h测定600 nm吸收光下细菌浓度变化。每组实验设置3个平行计数。
1.2.8 P1-CTX噬菌体-质粒稳定性测定
转导成功的大肠埃希菌和沙门菌及其原菌37℃连续培养24 h。1∶1 000连续重复传代30 d。每组试验设置3个平行计数。
1.2.9数据统计
利用GraphPad prism 5对数据进行处理分析。
2结果
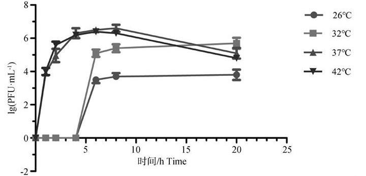
2.1 P1-CTX噬菌体-质粒效价
为评估沙门菌J46中P1噬菌体-质粒能否被诱导并释放出感染子代颗粒,选用噬菌体诱导剂丝裂霉素C,在时间维度上不同温度条件下进行研究。选取对数期OD600=0.5沙门菌J46四种不同温度26℃、32℃、37℃、42℃分别连续诱导20 h。结果显示,不同温度均可产生感染噬菌体颗粒(图1)。其中,温度为37℃和42℃时,诱导时间1 h即有噬菌体产生,诱导时间在4~6 h,噬菌体效价最高,可达约106 PFU·mL-1,随着时间的延长,噬菌体效价缓慢下降。温度为26℃和32℃时,诱导时间6 h时可观察到噬菌体产生,当诱导时间延长到20 h时,其效价仍低于37℃时诱导的最佳效价。
图1 P1-CTX噬菌体-质粒效价
2.2 P1-CTX噬菌体-质粒形态
沙门菌J46中可诱导P1-CTX噬菌体-质粒,由噬菌斑照片可知,P1-CTX产生的裂解斑块直径为1~2 mm,且清晰(图2A)。P1-CTX噬菌体-质粒属于肌病毒科,透射电镜下可观察到P1-CTX由头部和尾部组成,头部为球状直径约60~80 nm。尾部约为120~160 nm,且与头部相连的尾部有髓鞘包裹,尾部可清晰地观察到中空的尾管结构,与已公布的标准P1噬菌体一致(图2B)。
A.P1-CTX噬菌斑;B.透射电子显微镜下P1-CTX噬菌体形态
图2 P1-CTX噬菌体-质粒噬菌斑和电镜下形态
2.3 P1-CTX噬菌体-质粒最佳感染复数MOI
为检测噬菌体P1最佳感染复数,噬菌体和受体菌共培养后通过噬菌斑计数试验检测。结果如表1所示,当P1-CT噬菌体-质粒和受体菌比例为0.01时,为最佳感染复数,可产生最多的噬菌体子代,噬菌体效价为1.97×108 PFU·mL-1。随着MOI值的降低,噬菌体效价值呈现明显下降,而随着MOI值的增大,噬菌体效价变化幅度较小,均维持在108 PFU·mL-1水平。
表1 P1-CTX噬菌体-质粒最佳感染复数
2.4 P1-CTX噬菌体-质粒一步生长曲线
噬菌体的裂解周期,其增殖过程包括五个阶段,分别为吸附、核酸注入、DNA合成、噬菌体粒子组装和裂解细胞释放。噬菌体的吸附、增殖和裂解可用一步生长曲线描述。由图3可以看出,P1-CTX噬菌体-质粒从吸附到裂解释放出噬菌体颗粒的潜伏期为45 min,从检测出噬菌体到噬菌体数量达到顶值,裂解期持续约50 min,约100 min后达到平台期,裂解末期噬菌体数量约为1.0×108 PFU·mL-1,P1噬菌体的裂解量为63 PFU·cell-1。
图3 P1-CTX噬菌体-质粒一步生长曲线
相关新闻推荐
1、DNA甲基化是什么意思?DNA甲基化转移酶与生长抑制(二)
2、?梅花鹿源A型产气荚膜梭菌的分离鉴定、测序、毒素型、生化、耐药性分析(二)
