市售冷冻虾尾的菌落总数测定及数学模型构建
近年来,人民对微生物污染食品,尤其是冷冻食品特别关注。而菌落总数的多少一贯是人们用来判定食品被细菌污染的程度,它能反应出食品在生产、流通,储存过程中受污染的程度。菌落总数的多少在一定程度上标志着食品质量的好坏。冷冻虾尾做为一种较易储存的水产品近年来尤其受到人民群众的欢迎,但做为一种冷冻水制品,从最初的生产加工到最后供应到人们的餐桌,其流程长,且对温度要求高,因此,更容易受到微生物的污染。
在日常的微生物检验中,因为样品受污染的部位和程度不同,受制于取样等环节的影响,所做的结果常差别较大,因此,检验结果的准确与否甚至会影响企业的效益甚至生存,尤其是微生物测定不合格,企业不能提出复检。本文通过对10份市售冷冻虾尾的菌落总数进行测定,根据GB/T 27418-2017《测量不确定度评定和表示》的规定,来对结果中不确定度的来源进行分析,并为此建立合适的数学模型进行分析,来评定冷冻虾尾中菌落总数的不确定度。
1实验材料、仪器和方法
1.1实验材料样品:随机购买10个超市内的冷冻虾尾各一份,500g/份,用无菌袋包装,立即放入-18℃的冰箱内保存。
耗材:一次性无菌培养皿(江苏华夏瑞泰塑业有限公司),平板计数琼脂(北京陆桥计数股份有限公司)。
1.2仪器压力蒸汽灭菌器(BKQ-B50Ⅱ)(山东博科生物产业有限公司生产);电热鼓风干燥箱(DHG-9075AE)(无锡玛瑞科科技有限公司生产);微生物恒温培养箱(BJPX-Z1)(山东博科生物产业有限公司生产);苏净安泰生物安全柜(BSC-1804ⅡB2)(江苏苏净集团有限公司生产)。
1.3方法按照GB4789.2-2016中规定的方法进行实验,具体步骤如下:①在无菌的条件下,称取样品25.0g,加入到含有225ml 0.9%的无菌生理盐水的匀浆器,均质,摇匀。②取新的无菌吸管做系列10倍浓度稀释。③取1∶10,1∶100,1∶1000,1∶10000四个浓度梯度的样品稀释液,在每个样品稀释液中取1ml2次,分别加入到无菌培养皿中,另取1ml无菌生理盐水加入另一无菌培养皿中,作为空白对照。④将冷却至46℃左右的琼脂培养基分别倒入无菌培养皿中约15ml~20ml,混匀,待琼脂凝固后倒置。⑤将所有的培养皿放置于(36±1)℃的恒温培养箱中,培养(48±2)h。⑥选择无菌培养皿中菌落数在30~300的培养皿,计数后乘以稀释倍数,得到最终的计数结果。
2结果
2.1不确定度评价对10个冷冻虾尾样品的菌落总数的测定结果进行统计,具体数值见表1。
表1冷冻虾尾中菌落总数的检测结果及相关计算
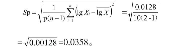
从附表中的具体数据可以看出,该10份样品中所测得菌落总数差异较大,因此,必须对检测结果所得数值取对数后,再进行检测结果对数值的标准偏差计算。按照统计学中A类评定,根据贝塞尔公式,计算最后结果:
在日常菌落总数的测定中,按照GB4789.2-2016的规定,每个稀释浓度均会做2个平行样,因此,在标准不确定度公式中,n=2,代入计算可得:。
在置信水平P=95%,V=10,通过查阅t分布表可得t95(10)=2.228。
根据扩展不确定度的公式U=KUC,代入计算可得,U=2.228×0.0253=0.0564。
2.2实验结果报告根据2.1中计算的结果,笔者以1号样品为例,其,其取值区间应为(5.8026±0.0564),计算可得5.7462~5.8590,取反对数后的区间为(557442~722770)CFU/g,因此,最后的检测结果可估算为(5.6~7.2)×105CFU/g,其他样品的取值范围也可以依此类推。
3讨论
在食品微生物检验中,不确定度来源很多,比如样品被污染程度是否均一,取样是否均一,每一步稀释的体积误差有多大,培养箱内部的温度差异有多大,培养的时间允差,最后计数的平行性等因素都是不确定度的来源。根据文献可知,B类不确定度对食品微生物检验中的不确定度影响较小[1]。影响食品微生物检验的不确定主要因素还是人员的重复性,因此,采用统计学A类不确定度计算方法贝塞尔公式来计算标准偏差。根据贝塞尔公式的相关要求,一般要求对单一样品测定10次以上,但是在日常实际工作中,几乎没有实验室会这样做[2]。因为在菌落总数的测定中,样品检验都为破坏性检验,样品检验一次后不能再重复检验,因此,对同一样品做重复10次以上得到的结果意义不大。因此,本文通过对10批次冷冻虾尾中的菌落总数进行测定,取对数后进行相关计算。
为了方便建立数学模型,要求所得到的实验数据尽量符合正态分布,而从培养皿中直接计数后乘以稀释浓度所得到的菌落总数为偏态分布[3]。因此,笔者对这些结果取对数后进行分析。通过实验发现,要想使最后的结果比较完美,就应该严格控制实验的每一个步骤,力求重复性一致。这就要求试验人员要尽量避免实验中的不确定度,并且尽可能的一个人完成所有操作,实验中所使用的实验容器和相关仪器一定要经过相关部门的检定并严格按照其操作规范的要求进行操作和使用。以最大限度地减少测定中的不确定度,保证结果的准确可靠。
对于一些检验结果在标准规定附近的结果,要根据CNAS-CL08《评价和报告测试结果与规定限量的符合性的要求》中的相关规定进行判定。例如,当检验的结果低于(高于)标准规定的值小于所测得的不确定度时,在95%的置信水平下,就不能做出不符合规定的处理[4]。
通过测定冷冻虾尾中菌落总数的不确定度评价,可以更清楚地反应冷冻虾尾的受污染情况,减少了实验数据和真实值之间的误差,更好地为人民群众的饮食安全保驾护航。
相关新闻推荐
1、微生物动态监测系统揭示XO-LPO系统在婴儿口腔微生物群中的抗菌作用
2、牦牛源短小芽孢杆菌生长曲线测定及药敏试验、体外抑菌结果解读(一)
3、不同条件下裂片石莼水培液的组成成分对耐药弧菌株的抑菌作用(三)
