藜麦和蓝靛果酵母菌株筛选、培养、计数及混菌液态发酵工艺优化(三)
2.结果与分析
2.1酵母菌筛选
2.1.1不同酵母菌发酵过程中对复合发酵液的SOD活力和活菌数的影响
由图1A、图1B可知,发酵16 h时,S3菌株发酵的复合发酵液SOD活力和活菌数均达最大值(122.728 mg/mL,2.933×106 CFU/mL)。纵观S3、S4酵母菌发酵整个过程,藜麦-蓝靛果复合发酵液的SOD活性与活菌数正相关,发酵16 h时,S3酵母菌的SOD活力和活菌数显著(P<0.05)高于S1、S2、S4,这与陈秋慧等研究的酵母菌菌种对刺梨果渣酵素SOD活力及酵母菌活菌数的影响结果一致。SOD活力和活菌数的变化可能是因为发酵基质中的营养物质消耗量随着发酵时间的延长而增加,后期营养物质不充分,酵母菌繁殖速度下降,导致SOD酶活力和酵母菌活菌数下降。故选择S3作为复合发酵液的最佳酵母菌种,确定发酵16 h进行后续研究。
图1不同酵母菌发酵过程中复合发酵液的SOD活力和活菌数变化
注:大写字母代表发酵16 h的组间差异性(P<0.05),小写字母代表组内差异性(P<0.05)。
2.1.2不同酵母菌接种量对复合发酵液SOD活力和活菌数的影响
由图2可知,当接种量为0.30%时,藜麦-蓝靛果复合发酵液的SOD活力和活菌数分别达到最大值,为145.062 U/mL和6.533×106 CFU/mL,接种量的大小直接影响着酵母菌的生长繁殖速度,接种量过大,发酵初期代谢迅速,引起发酵液中溶氧不足,菌丝体提前衰老,影响酵母菌代谢产物合成;接种量过小,酵母菌生长代谢缓慢,培养时间延长,代谢产物合成缓慢或降低,从而降低了产品的质量,因此确定接种S3发酵的接种量为0.30%。
图2不同酵母菌接种量和复合清汁装瓶量对复合发酵液SOD活力和活菌数的影响
注:大写字母代表SOD的组内差异性(P<0.05),小写字母代表活菌数的组内差异性(P<0.05);图3同。
2.1.3不同复合发酵液装瓶量对SOD活力和活菌数的影响
酵母菌是发酵过程中分有氧发酵和无氧发酵两个阶段的需氧型菌种,体系含氧量对产酶能力影响较大。由图3可知,藜麦-蓝靛果复合发酵液中活菌数随装瓶量的增加显著(P<0.05)降低,而SOD活力随装瓶量的增加呈先升后降的趋势,在装瓶量为40 mL时达到最高值为139.741 U/mL,这与王迪等研究的不同装瓶量的芸豆酵素SOD活力变化趋势一致。随装瓶量的增加,体系中氧气含量的减少抑制了酵母菌的生长,从而导致复合发酵液中SOD活力和活菌数均下降。故降低装瓶量有利于酵母菌产酶,故最终确定复合清汁装瓶量为40 mL/100 mL。
图3不同复合清汁装瓶量对复合发酵液SOD活力和活菌数的影响
2.2乳酸菌筛选
2.2.1不同乳酸菌生长曲线及产酸性能的测定
乳酸菌的发酵性能可通过比较菌株的生长速率和产酸量来体现。由图4A可知,四种乳酸菌均在4 h后进入对数增长期,L1和L2在16 h后进入稳定期,L3和L4在8 h后进入稳定期,L1和L2达到稳定期的吸光度值较大,即细胞数较多,且L1和L2的对数期比L3和L4的对数期更长。由图4B可知,随着发酵时间的延长,四种乳酸菌的pH整体呈下降趋势,乳酸菌生长繁殖产生的有机酸会导致发酵体系pH降低,从而抑制腐败菌的生长,其中L1和L2进入稳定期后的pH较低,因此L1和L2的产酸能力较强,故可判断L1和L2发酵能力较强。
图4四种乳酸菌的生长曲线及产酸性能
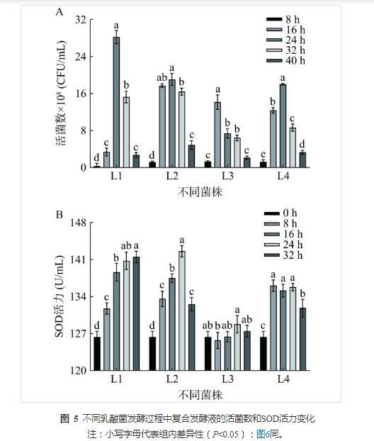
2.2.2不同乳酸菌发酵过程中对复合发酵液活菌数和SOD活力的影响
由图5A和图5B可知,随着发酵时间的增加,接种不同菌株的发酵液活菌数和SOD活力产生了不同变化。L1、L2、L4发酵的藜麦-蓝靛果复合发酵液活菌数均在24 h达到最大,分别为28.300×108、19.160×108、18.100×108 CFU/mL,L3活菌数在16 h时达最大。L2、L3在24 h时SOD活力最强,L1在32 h时SOD活力最强,L4在8 h时SOD活力最强,L1、L3、L4的SOD活力最大值前后时间点的差异不显著(P<0.05)。综上,以乳酸菌活菌数为主要参考指标,确定接种L1、L2、L4的藜麦-蓝靛果复合清汁最优发酵时间为24 h,接种L3的藜麦-蓝靛果复合清汁最优发酵时间为16 h。
图5不同乳酸菌发酵过程中复合发酵液的活菌数和SOD活力变化
注:小写字母代表组内差异性(P<0.05);图6同。
相关新闻推荐
1、可降胆固醇的犬源植物乳杆菌分离与鉴定、生长曲线、益生性和安全性研究(五)
2、没食子酸、原儿茶酸、绿原酸3种酚酸对腐败希瓦氏菌的抑制作用与机制(三)
3、砷氧化菌株在砷胁迫中生长曲线测定及重金属铜的耐受性(一)
