低水分活度、低pH值环境、柠檬酸对芽孢杆菌生长抑制作用
芽孢杆菌是一种常见的导致食源性疾病的菌种,当生存条件恶劣时,它们能以孢子的形态继续存活,因而一般的食品清洁加工手段很难将其完全清除,尤其是蜡样芽孢杆菌(Bacilluscereus)。
芽孢杆菌能够在食物中产生呕吐毒素(Cereulide),该毒素非常稳定,对于酸、碱(pH值2~11稳定)和热(121℃,30 min稳定)都具有极高的耐受性。当人体感染了大量的芽孢杆菌时,它们会在小肠内产生肠毒素从而导致人体发生呕吐和腹泻的症状。调查发现,引起食物中毒的事件中,芽孢杆菌的数量均达到了106~109CFU·mL-1,因此,控制芽孢杆菌的生长繁殖是避免食物中毒的关键。
虽然已经有不少文献就芽孢杆菌的特性及其生存条件作出了指导性的界定,但均集中在对蜡样芽孢杆菌特性的了解、分析和应用上,很少涉及其它芽孢杆菌的菌种。而真正应用于食品安全分析的菌种却是毒性相对较小的菌种,如枯草芽孢杆菌(Bacillussubtilis)、巨大芽孢杆菌(Bacillusmegaterium)和短小芽孢杆菌(Bacilluspumilis)等。因此,作者选取了14株常见芽孢杆菌,在此对其生存条件进行具体分析,拟为进一步的应用实验提供指导。
1实验
1.1菌株
14株芽孢杆菌:2株Bacilluscirculans(BC1,BC2),2株Bacillusmegaterium(BM1,BM2),2株Bacillussubtilis(BS1,BS2),1株Bacilluscereus(BAC01),3株Bacilluspumilis(BPU1,BPU2,BPU3),1株Brevibacillusbrevis(BBB1),1株Bacilluscoagulans(BCO1),1株Bacilluslichenformis(BLI1)和1株Bacilluspolymyxa(BPO1)。BC1、BM1和BPU1购于中国工业微生物菌种保藏管理中心,其余均由Juan L.Silva(Mississippi State University,MS,USA)博士提供。
1.2细菌细胞的处理
所有的菌株都在脑心浸出液肉汤(BHI Broth,Difco)中于30℃、有氧条件下复活复壮。实验前均须经过24 h的培养,然后在离心机(Sorvall®Biofuge Fresco)1000×g转速(4℃,2 min)下用0.85%的盐水清洗2次。分别在培养0 d、第1 d、第3 d、第7 d和第14 d取样,使用Tryptic Soy Agar(TSA,Becton Dickinson)平板记录芽孢杆菌的活菌数(CFU·mL-1)。
1.3低水分活度环境对芽孢杆菌抑制作用的研究
将14株芽孢杆菌用0.85%盐水离心(1000×g,4℃,2 min)清洗2次,然后各取10μL分别接入5种不同水分活度(AW,0.86、0.87、0.89、0.92、0.94;由固体氯化钠和甘油调节AW)的10 mL BHI培养基中,在0 d、第1 d、第3 d、第7 d和第14 d取样观察芽孢杆菌的生长情况。
1.4低pH值环境对“酸适应”芽孢杆菌抑制作用的研究
将14株芽孢杆菌接入10 mL BHI培养基(由1 mol·L-1盐酸调pH值至5.0)中,在30℃、有氧环境下培养24 h,即得“酸适应”芽孢杆菌。将“酸适应”芽孢杆菌用0.85%盐水离心(1000×g,4℃,2 min)清洗2次,然后各取10μL分别接入5种不同pH值(3.4、3.8、4.0、4.4、4.6;由1 mol·L-1盐酸调pH值)的10 mL BHI培养基中,在0 d、第1 d、第3 d、第7 d和第14 d取样观察芽孢杆菌的生长情况。
1.5柠檬酸对“适应”芽孢杆菌抑制作用的研究
将14株芽孢杆菌接入10 mL BHI培养基(由1 mol·L-1柠檬酸调pH值至5.0)中,在30℃、有氧环境下培养24 h,即得“适应”芽孢杆菌。将“适应”芽孢杆菌用0.85%盐水离心(1000×g,4℃,2 min)清洗2次,然后各取10μL分别接入5种不同pH值(3.4、3.8、4.0、4.4、4.6;由1 mol·L-1柠檬酸调pH值)的10 mL BHI培养基中,在0 d、第1 d、第3 d、第7 d和第14 d取样观察芽孢杆菌的生长情况。
2结果与讨论
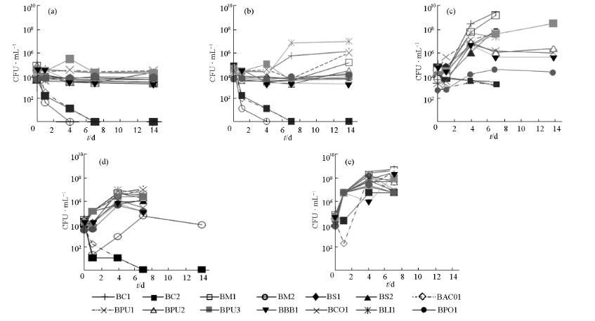
2.1低水分活度环境对芽孢杆菌的抑制作用(图1)
a~e,AW:0.86,0.87,0.89,0.92,0.94
由图1可看出,芽孢杆菌对于低水分活度环境的耐受性有限:AW在0.86时,所有的菌株都没有生长,BC2和BM2不能存活;AW在0.87时,BLI1、BC1和BPU1可以生长,BC2、BM2和BAC01不能存活;AW在0.89时,除了BPO1保持菌落数不变,BC2、BM2和BAC01的菌落数下降,其余菌株都能有不同速率的生长;AW在0.92时,除了BM2保持菌落数不变,BC2和BAC01的菌落数下降,其余菌株都能生长;AW在0.94时,所有菌株都能生长。
2.2低pH值环境对“酸适应”芽孢杆菌的抑制作用(图2)
由图2可看出,芽孢杆菌对于低pH值环境的耐受性有限:pH值<4.0时,所有的菌株都没有生长,BC2、BAC01和BBB1不能存活;pH值为4.4时,BS1、BBB1和BCO1可以生长,BC2和BAC01不能存活;pH值为4.6时,BS1、BS2、BBB1、BCO1、BC1、BM1、BPU1和BPO1可以生长,BC2和BAC01不能存活。
a~e,pH值:3.4,3.8,4.0,4.4,4.6
2.3柠檬酸对“适应”芽孢杆菌的抑制作用(图3)
由图3可看出,使用柠檬酸来调节pH值,加强了对芽孢杆菌的抑制效果,对Bacillusmegaterium的抑制效果尤其明显:pH值<4.4时,所有的菌株都没有生长,BM1、BM2和BBB1不能存活;pH值为4.6时,BS2可以生长,BM1和BM2不能存活。
a~e,pH值:3.4,3.8,4.0,4.4,4.6
3结论
将14株芽孢杆菌在不同水分活度和pH值条件下培养,结果发现,14株芽孢杆菌对低水分活度(<0.86)和低pH值(<4.4)的耐受性均有限,耐受性强弱(依次为):
(1)对于水分活度(AW):BLI1>BC1>BPU1>BM1>BS1,BS2,BPU2,BPU3,BBB1>BCO1>BPO1>BM2>BC2,BAC01。
(2)对于pH值:BS1,BCO1>BBB1>BS2,BC1,BM1,BPU1,BPO1>BM2,BPU2,BPU3,BLI1>BAC01,BC2。
(3)对于柠檬酸:BS2>BC1,BC2,BS1,BAC2,BPU1,BPU2,BPU3,BPO1,BCO1>BLI1>BBB1>BM1,BM2。
相关新闻推荐
1、平湖红曲黄酒酿造过程中真菌菌群动态、红曲霉生长抑制因素(二)
3、林氏扇头蜱抗菌肽重组蛋白对大肠埃希菌生长曲线影响及抑菌效果(二)
