醇类、小分子有机酸和糖类等不同碳源对微生物硫酸盐还原菌的影响
硫酸盐含量过高会对环境和人类健康构成威胁。为了解决硫酸盐污染问题并为硫酸盐去除和硫磺回收提供依据,本研究旨在探索硫酸盐还原菌(SRB)容易利用的有机物。为了研究SRB对不同有机质的利用特性,本研究调查了不同碳源(包括醇类、小分子有机酸和糖类)和不同碳硫(C/S)下的微生物硫酸盐还原。不同碳源转化途径的差异是影响硫酸盐还原过程的主要因素。研究发现不完全氧化的SRB能快速将糖类和醇类不完全氧化成乙酸,并降低溶液pH,从而抑制SRB的活性。相反,使用小分子有机酸作为碳源时能维持较为稳定的pH,并检测到更多的硫化物。在所有测试的碳源中,使用丙酸盐、乳酸、乙醇和甲酸盐作为碳源时,观察到更快的硫酸盐还原,最佳C/S是化学计量比的三倍。碳源的类型也通过影响微生物群落结构来影响硫酸盐还原。乙醇和丙酸盐的存在有利于不完全氧化SRB(Desulfomicrobiaceae和Desulfovibrionaceae)的增殖,而完全氧化的SRB(Desulfuromonadaceae和Desulfococccaceae)在含甲酸盐的底物中占主导地位。不完全氧化菌通常生长较快,往往具有较高的电子传输系统活性,但碳源利用效率较低。
研究概述
在19种测试的有机物中,丙酸盐作为碳源时硫酸盐还原效率最高(76.6%),其次是乳酸(67.3%)、乙醇(67.1%)、甲酸盐(46.3%)和D-山梨糖醇(45.8%),而其他则低于40%(图1a)。硫酸盐还原产物主要为硫化物,仅检测到少量硫代硫酸盐。SRB活动可能与碳源的化学分类有关。总体而言,当使用小分子糖作为碳源时,硫酸盐去除效率非常低,约为25%(p=0.84)。结果表明,碳源代谢对pH的影响可能是不同碳源影响SRB活性的重要原因。从PCA图中得知,当用作碳源时,醇类和糖类表现出某些相似性。在这里,pH总是与硫化物呈正相关,与ORP呈负相关。综上所述,不同碳源对微生物硫酸盐还原的影响可分为两个方面。一方面,SRB对不同的碳源有不同的亲和力。另一方面,SRB的碳源代谢过程可能通过影响溶液的pH和ORP对SRB活性产生反馈。
图1不同碳源条件下反应前后各项指标的变化。A、硫化合物的转化效率。b、反应前后的pH值。C、反应结束时的ORP值。d、PCA双序列图。
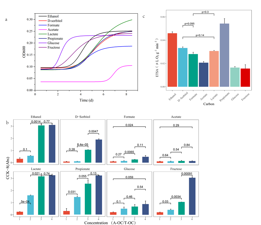
微生物增殖速度最快的是在含乳酸盐的环境中,其次是丙酸盐和乙醇,甲酸盐、乙酸盐、葡萄糖和果糖中增殖速率较低(图2a)。这表明SRB可以利用碳水化合物,但溶液的快速酸化会抑制反应的进行。当以乙醇、D-山梨糖醇、乳酸盐和丙酸盐为碳源时,随着碳源浓度的增加,微生物生物量显着增加(图2b)。在此条件下,碳源浓度是制约微生物生长的主要因素。甲酸盐和乙酸盐浓度的变化对生物量增长的影响有限。此外,与使用丙酸盐生长的SRB相比,基于碳水化合物的SRB具有较低的生物量。微生物活性在丙酸盐下最高(图2c)。因此,较高的能量代谢活动与使用丙酸盐和较大生物质的快速硫酸盐还原有关。此外,碳水化合物环境中最低的ETSA,进一步证明环境变化会严重抑制微生物活性
图2微生物活性的变化。a,OD600表示的微生物生长曲线(A-OC/T-OC=3)。b,CCK-8在不同碳源类型和浓度下检测到的微生物数量。c,不同碳源条件下的ETSA(A-OC/T-OC=3)。
在理论碳源浓度下,硫酸盐还原反应基本不会发生。随着碳源浓度的增加,硫酸盐去除效率迅速增加。当以乙醇和丙酸盐为碳源时,仅当碳源量为理论值的3倍时,硫酸盐还原效率才达到85%以上。然而,当使用甲酸盐时,碳源的量只需为理论值的两倍。在乙醇和丙酸盐理论浓度的两倍下,硫酸盐还原率分别为39.1%和56.9%。这是因为当乙醇和丙酸盐被用作碳源时,它们部分转化为乙酸盐,而乙酸盐没有被SRB作为电子供体充分利用,而甲酸盐被充分利用乙酸盐积累表明,尽管CO-SRB和IO-SRB共存,但IO-SRB显然更容易生长和增殖。
图3三种碳源、四种浓度下SRB硫酸盐还原过程中各指标的变化。a,硫酸盐浓度的变化。b,硫化物浓度的变化。c,一级动力学反应速率常数。
以乙醇为碳源,几乎不产生CO2(图4)。相反,当使用丙酸盐作为碳源时,随着碳源浓度的增加,乙酸盐和CO2的产量逐渐增加。这表明当碳源充足时SRB在微生物群落中占主导地位,反应接近理想的微生物硫酸盐还原。在这项研究中,乙醇被充分利用后仅检测到少量CO2,这可能是由于pH值降低,影响了溶液中CO2的存在形式。IO-SRB将乙醇不完全氧化为乙酸,导致水体酸化,而CO-SRB将甲酸盐完全氧化为CO2,导致pH升高。IO-SRB以介于乙醇和甲酸盐之间的方式利用丙酸盐,从而使溶液的pH保持稳定。
图4不同碳源、不同碳源浓度条件下的碳源转化(1、2、3、4对应A-OC/TO-OC比值)。
各指标计算的生物多样性在不同有机质类型下表现出显着差异(p<0.05)。这表明碳源类型是控制微生物群落结构的主要因素,而碳源浓度是次要因素。来自丙酸盐和乙醇处理的群落分别具有最低和最高的丰度,表明它们分别对微生物类群具有更多和更少的选择性(图5a)。直接使用社区中扩增子序列变体的数量绘制的维恩图展示了与alpha多样性指标相似的结果(图5b)。基于Bray-Curtis距离矩阵的PCoA显示样品根据不同的碳源分布在三个不同的区域(图5c)。同样,这表明碳源类型是影响微生物硫酸盐还原环境中微生物群落结构的主要因素。
图5微生物多样性分析。a,微生物多样性指数。b,维恩图。c、PCoA分析图(A、B、C分别代表乙醇、丙酸、甲酸)
A组(以乙醇为碳源)和B(以丙酸为碳源)组中的优势细菌家族分别是Desulfomicrobiaceae和Desulfovibrionaceae。Desulfomicrobiaceae和Desulfovibrionaceae科的大多数成员都是IO-SRB。随着碳源浓度的增加,这些科的丰度呈上升趋势。在A组中,Desulfomicrobiaceae的丰度从5.4%增加到32.8%,而在B组中,Desulfovibrionaceae的丰度从0.0%增加到23.4%。然而,在以甲酸盐为碳源的C组(以甲酸盐为碳源)中,IO-SRB丰度极低。相反,CO-SRB的Desulfuromonadaceae(2.7%–3.3%)和Desulfococcaceae(1.2%–2.1%)具有相对较高的丰度。结果表明,IO-SRB在乙醇和丙酸盐中占优势,而CO-SRB在甲酸盐中占优势。并且,CO-SRB竞争力较差,不易占据优势地位。
图6c显示SRB的丰度与乙醇和丙酸盐浓度之间呈正相关,但与甲酸盐浓度无关此外,当使用乙醇作为碳源时,多种非SRB与乙醇浓度呈正相关,表明多种微生物与SRB竞争,可能导致硫酸盐还原效率较低。Desulfovibrionaceae(IO-SRB)与丙酸盐呈现着正相关,而Desulfuromonadaceae(CO-SRB)与丙酸盐呈现负相关。该结果表明丙酸盐对IO-SRB具有良好的选择性。
图6微生物群落结构分析。a,科级物种组成条形图。b,类水平微生物物种组成的弦图。c,科级物种与碳源的相关热图(*相关,**显着相关,***高度相关)。d,微生物繁殖网络图。(A、B、C分别代表乙醇、丙酸、甲酸;1、2、3代表浓度梯度)
结论
本研究调查了存在不同碳源(包括醇类、小分子有机酸和糖类)以及不同C/S情况下微生物硫酸盐的还原。不同碳源转化途径的差异是影响硫酸盐还原过程的主要因素。IO-SRB的存在导致糖类和醇类的快速和不完全氧化产生乙酸,同时通过降低溶液pH抑制SRB的活性。而pH值稳定的小有机酸转化产生更多的硫化物。在所有测试的碳源中,使用丙酸盐、乳酸、乙醇和甲酸盐实现了更快的硫酸盐还原,最佳C/S是化学计量比的三倍。碳源类型还通过塑造微生物群落来影响硫酸盐还原。乙醇和丙酸盐有利于IO-SRB(Desulfomicrobiaceae和Desulfovibrionaceae)的增殖,而CO-SRB(Desulfuromonadaceae和Desulfococccaceae)在甲酸盐中占主导地位。IO-SRB一般生长较快,能量代谢较高,但碳源利用效率较低。在不同的pH值下,硫化物从水中的去除方式不同。本研究为选择微生物硫酸盐还原的最佳碳源提供了依据,并为污水中硫酸盐的去除和再利用提供了新的见解。
相关新闻推荐
2、大肠杆菌噬菌体Φ199一步生长曲线、与盐酸克林霉素体外联合应用效果(三)
