脱除煤中有机钠的菌株生长曲线、影响因素及条件优化
煤中碱金属钠的存在对燃烧、气化和配煤炼焦产生了许多负面影响。有机钠是碱金属钠的重要组成部分,对其脱除主要采取逐级萃取的方法,但该工艺增加了工业成本,不利于经济效益的提升,亟待寻找一种能够有效、绿色且经济的脱除煤中有机钠的替代技术。利用生物冶金技术能够脱除煤中的硫元素,但尚无关于脱除有机钠的研究。本研究通过富集筛选一株对煤中有机钠有作用效果的菌株并对其进行了鉴定,通过单因素试验探究了其最适生长条件及对煤中有机钠最佳的脱除条件,并在最佳条件下评估了其脱除效果。研究结果为煤炭的高效清洁利用提供了新思路。
【背景】针对煤燃烧过程中碱金属钠对燃煤设备和气化效率的影响,以及酸洗过程中产生酸性废水等问题。
【目的】提出利用微生物脱除煤中有机钠的新方法。
【方法】从内蒙古乌兰察布市察哈尔右翼前旗黄旗海分离、筛选一株脱除煤中有机钠的菌株,通过形态特征、生理生化特性以及16S rRNA基因序列分析对菌株进行鉴定,构建其系统发育树,通过单因素试验探究细菌最适的生长条件并绘制其生长曲线,确定煤中有机钠最佳的脱除条件,并在最佳条件下评估其脱除效果。
图1温度对菌株CSW-1生长的影响
图2初始pH对菌株CSW-1生长的影响
图3接种量对菌株CSW-1生长的影响
图4装液量对菌株CSW-1生长的影响
图5摇床转速对菌株CSW-1生长的影响
图6碳源对菌株CSW-1生长的影响A:碳源种类.B:碳源浓度
图7氮源对菌株CSW-1生长的影响A:氮源种类.B:氮源浓度
图8菌株CSW-1的生长曲线
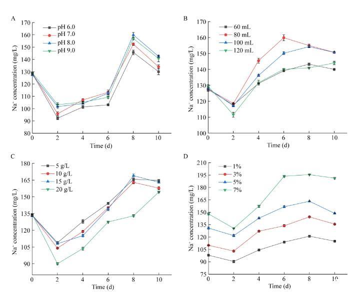
图9菌株CSW-1脱除煤中有机钠的条件优化A:初始pH对煤中有机钠脱除的影响.B:装液量对煤中有机钠脱除的影响.C:煤浆浓度对煤中有机钠脱除的影响.D:接种量对煤中有机钠脱除的影响
【结果】筛选到一株能够脱除煤中有机钠的菌株,经鉴定为水生鞘氨醇单胞菌。该菌株的最佳生长条件为:温度30℃、初始pH 8.0、接种量3%、装液量100 mL、摇床转速150 r/min、最佳碳源为葡萄糖(4 g/L)、最佳氮源为蛋白胨(13 g/L);煤中有机钠的最佳脱除条件为:初始pH 8.0、装液量80 mL、煤浆浓度5 g/L、接种量7%。该条件下菌株CSW-1对煤中有机钠的脱除率为23.79%。
【结论】首次提出细菌脱除煤中有机钠的新方法,为煤炭的高效清洁利用提供了新思路。
相关新闻推荐
1、植物乳杆菌发酵红枣汁的理化特性演变与总酚生成动力学分析(二)
2、牦牛源短小芽孢杆菌生长曲线测定及药敏试验、体外抑菌结果解读(一)
